
点击蓝字 关注我们


导语

糖尿病前期的血糖管理,目前正面临一个“精准”难题——缺乏能够有效预测其转归方向(恢复正常或进展为糖尿病)的特异性标志物。传统研究多局限于对血脂等指标的“静态” snapshot式测量,却忽略了其在体内动态变化的调控模式可能对血糖转归产生的深远影响。尤其是血浆致动脉粥样硬化指数(AIP)这一复合指标,其动态演变规律与糖尿病前期结局的关联,此前尚处于探索盲区。
为填补这一空白,南昌医学院第一附属医院的研究团队依托中国健康与养老追踪调查(CHARLS) longitudinal队列数据,在《Lipids in Health and Disease》期刊(IF 4.2,二区)发表了一项创新性研究成果。该研究首次深入揭示了AIP的动态模式与糖尿病前期转归的内在联系,为糖尿病前期的风险分层与精准干预提供了全新的科学依据。

影响因子:4.2

研究背景
糖尿病前期人群面临较高的血糖转化风险,然而当前临床常用的预测指标多局限于对血脂、血糖等参数的单次、静态水平评估。尽管已有研究证实,血浆致动脉粥样硬化指数(AIP) 与肥胖状态均与糖代谢异常密切相关,但二者联合作用的动态演变模式——即它们随时间协同变化如何影响血糖转归——至今尚不明确。这一认知空白,严重制约了临床对高危人群的早期精准识别与风险分层,导致干预时机往往滞后于病情变化。

研究方法
本研究依托中国健康与养老追踪调查(CHARLS)2011-2015年随访数据,纳入2535例糖尿病前期人群作为研究对象,通过系统性的数据分析流程,揭示AIP动态模式与血糖转归的深层关联。
数据来源:中国健康与养老追踪调查(CHARLS)2011-2015年三波次随访数据
研究对象:经严格筛选纳入2535例糖尿病前期人群,并获取其完整的纵向随访记录
本研究遵循严谨的数据分析流程,逐层深入揭示核心科学问题:
数据采集与清洗 → 指标构建(AIP及AIP-肥胖复合指数)→ 模式识别(K-means聚类识别动态控制模式)→ 关联分析(多变量Cox回归量化各模式与血糖转归关联)→ 组分解析(WQS回归解析组分贡献权重)→ 机制探索(四向分解检验炎症介导效应)→ 稳健性验证(亚组分析、敏感性分析及外部数据验证)
① 数据与工具应用
依托CHARLS全国队列,精准筛选糖尿病前期人群,确保样本代表性与随访完整性
计算血浆致动脉粥样硬化指数(AIP),并构建AIP-肥胖指标复合指数,实现暴露因素的多维度量化
② 核心分析逻辑
多模型量化关联:采用多变量Cox回归模型量化不同AIP动态模式与血糖转归的关联强度,拟合剂量反应关系并深入剖析不同亚组间的分层异质性
权重解析与机制探索:运用加权分位数和(WQS)回归解析累积甘油三酯(TG)与肥胖暴露的组分贡献权重,并通过四向分解模型系统检验炎症指标的介导效应,揭示潜在生物学机制

图1.研究参与者流程图

主要结果
1.核心发现一:AIP动态变化聚类为三种特征模式
研究通过K-means聚类算法,基于AIP及其肥胖相关指标的动态变化轨迹,将2535例糖尿病前期人群精准划分为三种具有显著差异的调控模式。多维度可视化图形(图2)清晰展示了这三类模式在三个关键维度的异质性特征:
基线水平差异:三类模式在进入队列时的初始AIP与肥胖指标水平呈现明显梯度分布
随访变化趋势:随时间推移,各类模式的指标演变轨迹展现出不同的上升、平稳或波动特征
人群分布特征:三类模式在性别、年龄等人口学特征上的构成比存在显著差异
这一聚类结果为后续深入分析不同动态调控模式与血糖转归的关联奠定了坚实的分组基础,使研究者能够从“动态轨迹”而非“静态数值”的视角,重新审视AIP与肥胖对血糖转化的协同影响。

2.核心发现二:基线指标与疾病进展呈线性正相关
研究通过限制性立方样条分析,系统评估了基线指标与糖尿病前期进展风险的剂量反应关系。结果显示:
线性关系明确:基线AIP及其肥胖相关指标与糖尿病前期进展风险均呈现显著的线性正相关,未发现任何非线性拐点或阈值效应
风险递增规律:这意味着,基线指标水平每升高1个单位,糖尿病前期进展为糖尿病的风险均呈现规律性递增趋势,风险增幅在各指标间保持稳定一致性
量化依据充分:这一线性关系的确立(图3),为后续量化基线指标的风险效应、构建风险预测模型提供了关键的统计学依据,使临床风险评估更加精准可测
该发现提示,即使在糖尿病前期阶段,AIP及肥胖指标的基线水平已开始“潜移默化”地推动血糖向不利方向转化,且这一风险效应呈现“水涨船高”的线性特征。

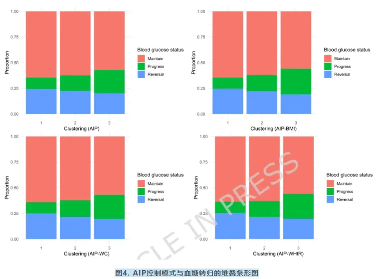
3.核心发现三:调控模式越差,进展风险越高、逆转概率越低
研究进一步揭示,不同动态调控模式与糖尿病前期血糖转归密切相关,呈现出清晰的“梯度效应”:
风险递增规律:调控模式越差(即AIP及肥胖指标长期维持在高位或呈上升趋势的人群),其进展为糖尿病的比例越高,疾病转归轨迹持续恶化
逆转概率递减:与之对应,调控模式越差的人群,血糖恢复正常(逆转为正常血糖)的比例越低,提示不良调控模式可能“锁定”了血糖的恶化方向
指标特异性突出:在多项复合指标中,AIP-BMI指标的关联趋势最为显著,直观体现了该复合指标动态调控模式对血糖转归的强预测能力
这一发现通过图4直观呈现,清晰地揭示了动态调控模式与临床结局之间的“剂量-反应”关系:调控质量直接决定转归方向——模式越差,结局越糟;模式越好,逆转机会越大。

4.核心发现四:亚组分析揭示风险人群特征,关联方向一致稳健
高血压人群风险更突出:在分析指标调控模式与糖尿病前期进展的关联时发现,高血压患者中二者的关联强度显著高于非高血压人群,提示合并高血压的糖尿病前期个体对AIP及肥胖指标的动态变化更为敏感,进展风险被进一步放大
非饮酒人群效应更显著:同样在进展风险分析中,非饮酒人群中调控模式与疾病进展的关联更为突出,这可能与饮酒行为对代谢指标的复杂干扰有关,使非饮酒人群的“纯净”关联得以更充分显现
血糖逆转关联无差异:值得注意的是,各亚组(无论性别、年龄、高血压状态、饮酒与否)在分析调控模式与血糖逆转的关联时,均未发现明显的异质性,提示逆转效应在不同人群中具有普遍适用性
精准识别依据明确:上述发现(图5)为临床精准识别高风险人群提供了重要的亚组特征依据——尤其需重点关注合并高血压、不饮酒的糖尿病前期个体,其AIP动态调控模式对进展风险的预示价值更为突出。

5.核心发现五:肥胖累积暴露是进展的核心驱动因子
肥胖累积暴露——进展的“核心推手”:在驱动糖尿病前期向糖尿病进展的方向上,肥胖累积暴露被证实为核心驱动因子,其贡献权重显著高于其他代谢指标组分,提示控制肥胖的动态累积效应是阻断疾病进展的关键靶点
TG与HDL-C代谢——逆转的“关键钥匙”:在促进血糖恢复正常的方向上,甘油三酯(TG)和高密度脂蛋白胆固醇(HDL-C)代谢扮演了更为重要的角色,二者的调控状态对实现血糖逆转贡献权重最大,提示改善血脂代谢是促进逆转的重要抓手
精准干预方向明确:这一组分贡献权重的解析(图6),为临床针对性制定代谢干预策略提供了清晰的靶点方向——
阻断进展:重点监控并干预肥胖累积暴露
促进逆转:优先改善TG和HDL-C代谢紊乱
该发现从组分权重视角,首次明确了不同代谢指标在血糖转归中的“分工差异”,为糖尿病前期人群的分层管理、靶向干预提供了精准的科学依据。


文章小结
本研究基于CHARLS全国队列,首次通过聚类分析识别出三类AIP及其肥胖相关指标的动态调控模式,并系统揭示了其与糖尿病前期血糖转归的深层关联:
核心发现一:动态模式决定转归方向研究证实,不同AIP动态调控模式与糖尿病前期血糖转归密切相关,且呈现线性剂量反应关系——调控模式越差,进展风险越高、逆转概率越低,为从“动态轨迹”视角评估代谢风险提供了全新依据。
核心发现二:肥胖累积暴露是进展核心驱动力通过WQS回归解析组分贡献权重,首次明确肥胖累积暴露是推动糖尿病前期向糖尿病进展的核心驱动因子,而TG与HDL-C代谢则在血糖逆转中发挥关键作用,揭示了不同代谢维度的“功能分工”。
核心发现三:高风险人群特征明确亚组分析进一步锁定高血压患者与非饮酒人群为关联更显著的高风险群体,为临床精准识别高危个体、实施分层干预提供了清晰的人群特征依据。
综上,本研究首次系统阐明AIP动态调控模式与血糖转归的关联及内部组分贡献差异,为糖尿病前期的精准风险分层与靶向干预提供了关键实证支持,推动血糖管理从“静态评估”向“动态监控”模式转变。
🔧 数据库分析遇到困难?
如果你在CHARLS等数据库的选题、思路设计或具体分析上遇到瓶颈,小编带领的专业团队随时可以提供支持:✅ 选题可行性评估✅ 创新性思路设计✅ 定制化生信分析
我们拥有十年以上的分析经验,能确保项目成本与周期可控,性价比极高。现在咨询,还可免费领取一次思路评估机会和高性能生信服务器试用名额!机会有限,有需要请立即滴滴我!
立即行动,把握CHARLS数据库的发文红利期!
还在为挖掘FAERS、MIMIC、CHARLS等热门公共数据库发愁?想零基础快速掌握数据分析全流程,轻松冲击SCI?
🔥 六大实战课程全面开放:FAERS·NAHNES·MIMIC·CHARLS·GBD·CLHLS覆盖药物安全、临床重症、老龄健康、疾病负担等主流科研方向!
✨ 课程四大亮点:✅ 一对一指导:从选题→方案→数据→分析全程陪伴✅ 零基础友好:从数据注册下载教起,小白也能轻松入门✅ 顶刊级复现:基于高分文献案例拆解,对标SCI发文标准✅ 直播互动教学:手把手带练,即问即答,问题不过夜
🎁 限时团购福利:👉 三人拼团直减100元👉 前50名赠送「SCI图表美化模板库」👉 报名即得六大数据库标准操作手册
⏰ 开售时间:2025年12月25日抢占席位,提升科研竞争力!私信咨询,立即锁定优惠 🚀


往期阅读
点击阅读原文