
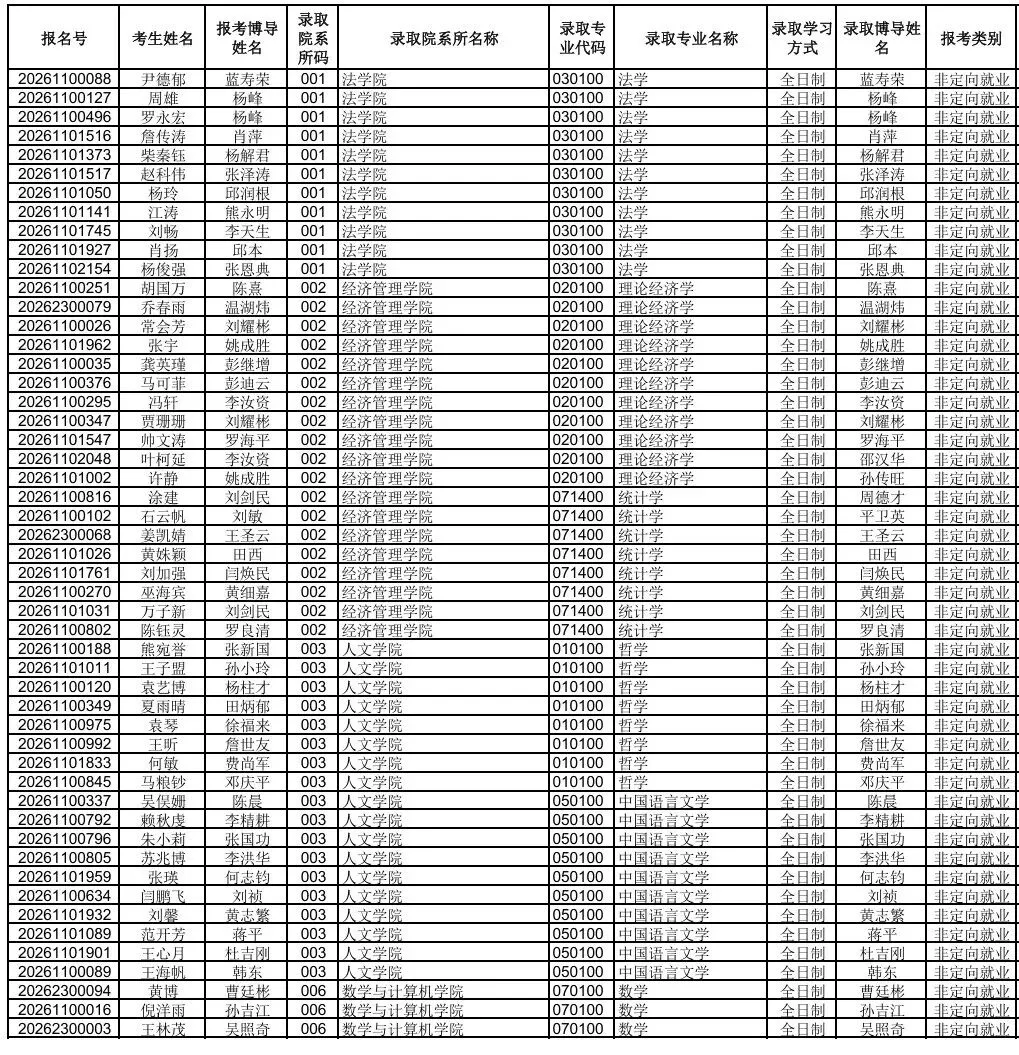
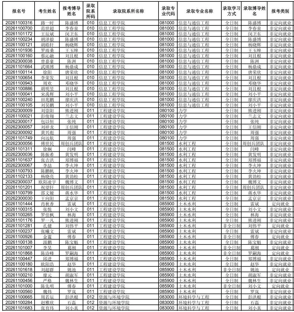
根据我校2026年博士研究生招生工作安排,经学校研究生招生工作小组审定第一批次博士研究生招生拟录取名单,现公示拟录取结果,公示期为10个工作日。公示期间,对拟录取名单有异议者,可通过邮件或电话等方式实名向研究生院招生办公室反映,反映的情况应真实清楚。最终录取结果待上报江西省教育考试院和教育部,并经全国录取联合检查通过后确定。
调档函、定向协议等录取相关事宜将另行通知。
高校思想政治工作骨干专项计划拟录取名单待教育部审核通过后再行公示。
研招办:0791-83969340 Email:yzb@ncu.edu.cn
省纪委监委驻南昌大学纪检监察组:0791-83969054(不用于招生咨询)。



篇幅过长,详细名单请点击查看:
https://yjsy.ncu.edu.cn/info/1012/46806.htm?sessionid=
热门学术会议
能源环境、水利土建、人文社科
机电工程、生物医学、计算机
等多领域持续征稿

监制:奔月吧

点个在看你最好看
