当前位置:首页>南昌>南昌大学王允圃教授团队Energy:生物质-塑料共热解的协同效应:利用微波辅助和生物质类型变化提升性能

南昌大学王允圃教授团队Energy:生物质-塑料共热解的协同效应:利用微波辅助和生物质类型变化提升性能

  • 2026-03-27 16:17:52
南昌大学王允圃教授团队Energy:生物质-塑料共热解的协同效应:利用微波辅助和生物质类型变化提升性能

全文速览

本文来自南昌大学王允圃教授团队,发表于《Energy》期刊,本文聚焦生物质与塑料共热解技术,针对微波在协同效应强化中的作用及生物质异质性对协同作用的影响两大研究空白,通过对比微波热解与传统热解系统,结合 5 种不同生物质(南酸枣内果皮 CAE、稻草 RS、油茶壳 COS、甘蔗渣 Baga、玉米芯 Corn)与低密度聚乙烯(LDPE)的共热解实验,系统探究了加热方式、生物质类型对热解产物分布、协同效应强度及催化剂结焦行为的影响。研究揭示了微波快速加热通过缩小生物质与塑料的分解时间差增强协同作用,明确了木质素含量是调控协同抑焦效果的关键因素,提出木质素衍生物的氢转移反应是协同效应的核心内在机制,为固体废弃物的高效资源化利用提供了理论支撑与技术参考。

背景介绍

随着化石燃料消耗加剧与固体废弃物排放量激增,生物质废物与塑料废物的混合处理成为环境治理的重要挑战 —— 二者难以完全分离,不仅制约回收效率,还会导致微塑料污染等生态问题。热解技术作为一种高效的热化学转化方法,能将固体废弃物转化为高价值能源载体,而共热解技术因无需改造现有设备、可通过原料间协同效应优化产物品质,成为混合废弃物处理的优选方案。

现有研究已证实共热解的协同效应与原料特性、反应条件相关,但仍存在两大关键缺口:一是微波加热在强化共热解协同效应中的作用机制尚不明确,其快速加热、选择性加热等特性对产物形成的影响缺乏系统研究;二是生物质的异质性(木质素、纤维素、半纤维素含量差异)如何调控与塑料的协同作用,尚未得到充分探讨。此外,传统共热解中催化剂结焦、芳香烃产物选择性不足等问题也限制了技术规模化应用,亟需开发高效优化策略。

本文亮点

1.首次系统证实微波对共热解协同效应的强化作用:微波加热通过快速升温缩小生物质与塑料的分解时间差,促进挥发分同步释放与相互作用,使单环芳香烃(MAHs)峰面积占比较传统催化共热解提升 16.1%,同时降低催化剂结焦率,且能耗较传统系统减少 40.78%,兼具效率与节能优势。

2.明确生物质木质素含量的调控作用:发现生物质中木质素含量与协同抑焦效果正相关 —— 木质素含量越高,与 LDPE 的分解时间尺度重叠度越高,氢转移反应越强,催化剂结焦抑制效果越显著,为原料选型提供明确依据。

3.揭示协同效应核心机制:提出共热解协同效应的核心并非传统认为的 Diels-Alder 反应,而是木质素衍生物与塑料自由基间的氢转移反应,且明确共热解分两阶段发挥作用:共热解阶段通过自由基相互作用生成特征产物(如长链伯醇),催化重整阶段通过 ZSM-5 催化剂的 “酚池”“烃池” 机制转化为芳香烃。

4.多维度产物优化验证:通过 GC-MS、热重分析等手段,证实微波催化共热解可显著提升苯、甲苯等目标产物选择性,降低多环芳香烃(PAHs)生成,液体产物中烃类占比接近 100%,产物品质优于传统热解。

图文解析

摘要图

图1.热解装置示意图:(A)微波热解装置;(B)常规热解装置。

(a)微波热解装置:核心组件包括微波发生器(2450 MHz,700 W)、石英反应器、SiC 吸波床、催化床、两级冷凝瓶及气体收集袋,氮气吹扫(50 mL/min)保障惰性氛围,实现快速升温(目标温度稳定维持 20 min)

(b)传统热解装置:以电加热炉替代微波发生器,虽升温快(1-2 min 达目标温度),但因气体传热慢,总反应时间延长至 60 min,装置差异直接导致加热效率与产物分布不同

图2不同热解体系对CAE和LDPE热解/共热解产物的影响:(A)产物产率;(B)主要气态产物的产率;(C)液体产物中含氧化合物的组成;(D)液体产物中的碳氢化合物组成

(a)产物产率:微波共热解(M-CAE+L)的液体产物产率高于单独生物质热解,且固体产物少于传统热解,表明共热解与微波加热均利于液体产物生成。

(b)气态产物产率:微波热解显著提升 CAE 的 CO、CO₂、CH₄产率,共热解中微波系统的 H₂产率高于传统系统,而 CH₄产率低于传统系统,与挥发分停留时间及键断裂特性相关。

(c)液体含氧化合物组成:微波共热解的呋喃类化合物峰面积占比更高,酚类化合物占比低于传统热解,归因于微波促进氢自由基生成,抑制含氧化合物缩合。

(d)液体烃类组成:微波热解的烷烃占比高于传统热解,烯烃与芳香烃占比更低,因快速升温抑制裂解、芳构化等吸热反应。

图3不同热解体系对CAE和LDPE催化热解/共热解产物的影响:(A)产物产率;(B)液体产物的组成分布;(C)液体产物中芳香族组分的分布;(D)主要气态产物的种类

(a)催化产物产率:引入 HZSM-5 催化剂后,非 condensable 气体产率显著提升,液体产率下降,表明催化剂强化二次裂解反应。

(b)液体产物组成:微波催化共热解的 MAHs 占比最高,PAHs 占比最低,氧含化合物接近零,证实微波与催化剂协同提升产物选择性。

(c)芳香烃组分分布:微波促进甲苯、二甲苯生成,CAE 与 LDPE 微波催化共热解中苯、甲苯的实验值接近理论值的 2 倍,协同效应显著。

(d)催化气态产物产率:微波催化 CAE 的 CO、CO₂、CH₄产率均高于传统催化,共热解中两系统的气态产物差异主要源于 CH₄与 H₂的竞争生成。

图4不同热解体系对废ZSM-5催化剂热重的影响:(A)TG曲线;(B)DTG曲线

(a)TG 曲线:微波单独催化 CAE 的催化剂失重率最高(结焦率 7.55 wt%),而微波催化共热解的失重率最低,表明共热解抑制结焦。

(b)DTG 曲线:结焦失重分为两阶段 ——105-268℃(吸附水与物理吸附物脱附)、268-700℃(焦炭燃烧),焦炭热稳定性顺序为:生物质热解<共热解<LDPE 热解,且热解系统不影响焦炭组成。

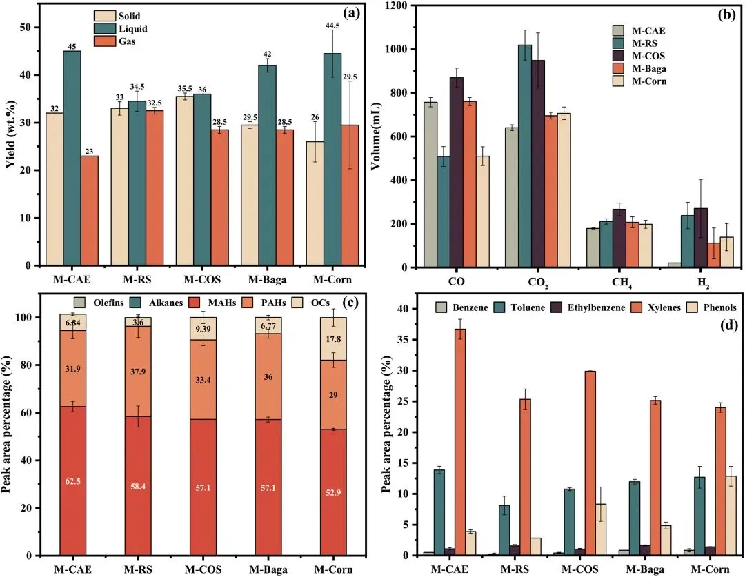
图5.不同生物质在无催化下微波热解的产物分布:(A)产物产率;(B)液体产物分布;(C)主要气态产物的产率。

(a)三相产率:稻草(RS)固体产率最高(37.1 wt%),玉米芯(Corn)最低(23.5 wt%),固体产物主要为灰分与生物炭。

(b)液体产物组成:含氧化合物占比随木质素含量降低而升高,RS 因灰分中碱金属催化作用,烃类占比达 10.7%,为唯一检测到烃类的非催化生物质热解产物。

(c)气态产物产率:所有生物质的气态产物均遵循 CO₂>CO>CH₄>H₂的顺序,玉米芯的 CO 与 CO₂总产率最高(1412.7 mL),与纤维素、半纤维素含量高相关。

图6不同生物质催化热解的产物分布:(A)产物产率;(B)主要气体产物的产率;(C)液体产物的分布;(D)液体产物中芳香烃组分的分布。

(a)三相产率:催化作用使液体产率下降、气体产率上升,表明二次裂解增强。

(b)气态产物产率:催化剂显著提升所有气态产物产率,且产物组成发生重构,CH₄与 H₂占比提升。

(c)液体产物组成:主要含 MAHs、PAHs 及少量含氧化合物,MAHs 占比随木质素含量降低而下降。

(d)芳香烃与酚类分布:二甲苯是 BTEX 的主要组分(峰面积占比>24.0%),酚类占比随木质素含量降低而升高,因含氧化合物占据催化剂吸附位点,减少酚类不可逆吸附。

图7不同生物质与LDPE共催化热解的产物分布:(A)产物产率;(B)主要气体产物的产率;(C)液体产物的分布;(D)液体产物中芳香烃组分的分布。

(a)三相产率:生物质类型对液体产率影响较小(40-43.5 wt%),固体产率普遍低于单独催化热解,证实共热解抑制固体生成。

(b)气态产物产率:随木质素含量降低,CO₂、H₂、CH₄产率总体上升,CO 产率先降后升,与非催化热解规律一致。

(c)液体产物组成:烃类占比接近 100%,CAE 与 LDPE 共热解的 MAHs 占比最高(83.4%),协同效应最优。

(d)芳香烃组分分布:甲苯、二甲苯为主要产物,CAE、COS、Corn 与 LDPE 共热解对目标芳香烃的选择性更高。

图8不同生物质类型对废ZSM-5催化剂热重的影响:(A)/(B)催化热解;(C)/(D)催化共热解。

(a)(b)催化热解:CAE 催化热解的催化剂结焦率最高(7.55 wt%),COS 最低(4.34 wt%),结焦热稳定性与生物质组成相关。

(c)(d)催化共热解:CAE、RS、COS 与 LDPE 共热解的催化剂实际结焦率低于理论值,Baga、Corn 则高于理论值,且木质素含量越高,结焦抑制效果越显著。

图9生物质与低密度聚乙烯的催化共热解过程

总结

本文通过系统对比微波与传统热解系统,结合不同类型生物质与 LDPE 的共热解实验,明确了加热方式、生物质组成对共热解协同效应的调控规律。核心结论包括:微波加热通过快速升温促进挥发分同步释放,强化氢转移反应,显著提升目标芳香烃选择性并降低能耗;生物质木质素含量是协同抑焦的关键调控因子,高木质素生物质与塑料的协同效果更优;共热解协同效应的核心机制为氢转移反应,而非 Diels-Alder 反应,分共热解与催化重整两阶段发挥作用。

研究证实微波催化共热解可有效解决传统技术中产物选择性不足、催化剂结焦、能耗高等问题,液体产物中烃类占比接近 100%,单环芳香烃产率显著提升,为固体废弃物资源化提供了高效、绿色的技术路径,同时为原料选型、工艺优化提供了明确的理论依据。

未来方向:

  1. 强化机制验证的精准性:采用原位红外光谱、同位素标记、质谱等技术,直接追踪氢转移反应中自由基的生成与转化过程,量化中间产物相互作用,排除竞争机制干扰,进一步夯实协同效应机制理论。

  2. 优化工艺与催化剂适配性:探索微波功率、催化温度、原料配比等参数的协同优化,开发针对微波系统的改性 ZSM-5 催化剂(如调控孔径、酸度),进一步提升芳香烃选择性与催化剂稳定性;拓展塑料类型(如聚丙烯、聚苯乙烯)与生物质的组合研究,验证技术普适性。

  3. 弥补微波场分布影响研究缺口:量化微波场非均匀分布对局部反应路径的影响,开发反应器结构优化方案(如吸波床布局调整),提升反应均一性与产物稳定性。

  4. 推进规模化与应用落地:开展中试规模实验,评估技术放大效应;结合生命周期评估(LCA),全面分析技术的经济可行性与环境效益,推动其在工业固废处理中的实际应用。

  5. 多尺度理论建模支撑:整合分子动力学模拟(如 ReaxFF MD)与热力学计算,构建多尺度理论模型,预测不同原料组合与工艺条件下的产物分布,为工艺优化提供理论指导。

Synergistic effects of biomass-plastic co-pyrolysis: Enhanced performance with microwave assistance and biomass type variability

论文DOI:doi.org/10.1016/j.energy.2025.139602

声明:本文仅用于学术分享,如有侵权,请联系后台小编删除

最新文章

随机文章

基本 文件 流程 错误 SQL 调试
  1. 请求信息 : 2026-04-10 23:45:17 HTTP/2.0 GET : https://a.460.net.cn/a/485490.html
  2. 运行时间 : 0.176570s [ 吞吐率:5.66req/s ] 内存消耗:4,390.58kb 文件加载:140
  3. 缓存信息 : 0 reads,0 writes
  4. 会话信息 : SESSION_ID=d05558baafc86d9b6475604cb5391b61
  1. /yingpanguazai/ssd/ssd1/www/a.460.net.cn/public/index.php ( 0.79 KB )
  2. /yingpanguazai/ssd/ssd1/www/a.460.net.cn/vendor/autoload.php ( 0.17 KB )
  3. /yingpanguazai/ssd/ssd1/www/a.460.net.cn/vendor/composer/autoload_real.php ( 2.49 KB )
  4. /yingpanguazai/ssd/ssd1/www/a.460.net.cn/vendor/composer/platform_check.php ( 0.90 KB )
  5. /yingpanguazai/ssd/ssd1/www/a.460.net.cn/vendor/composer/ClassLoader.php ( 14.03 KB )
  6. /yingpanguazai/ssd/ssd1/www/a.460.net.cn/vendor/composer/autoload_static.php ( 4.90 KB )
  7. /yingpanguazai/ssd/ssd1/www/a.460.net.cn/vendor/topthink/think-helper/src/helper.php ( 8.34 KB )
  8. /yingpanguazai/ssd/ssd1/www/a.460.net.cn/vendor/topthink/think-validate/src/helper.php ( 2.19 KB )
  9. /yingpanguazai/ssd/ssd1/www/a.460.net.cn/vendor/topthink/think-orm/src/helper.php ( 1.47 KB )
  10. /yingpanguazai/ssd/ssd1/www/a.460.net.cn/vendor/topthink/think-orm/stubs/load_stubs.php ( 0.16 KB )
  11. /yingpanguazai/ssd/ssd1/www/a.460.net.cn/vendor/topthink/framework/src/think/Exception.php ( 1.69 KB )
  12. /yingpanguazai/ssd/ssd1/www/a.460.net.cn/vendor/topthink/think-container/src/Facade.php ( 2.71 KB )
  13. /yingpanguazai/ssd/ssd1/www/a.460.net.cn/vendor/symfony/deprecation-contracts/function.php ( 0.99 KB )
  14. /yingpanguazai/ssd/ssd1/www/a.460.net.cn/vendor/symfony/polyfill-mbstring/bootstrap.php ( 8.26 KB )
  15. /yingpanguazai/ssd/ssd1/www/a.460.net.cn/vendor/symfony/polyfill-mbstring/bootstrap80.php ( 9.78 KB )
  16. /yingpanguazai/ssd/ssd1/www/a.460.net.cn/vendor/symfony/var-dumper/Resources/functions/dump.php ( 1.49 KB )
  17. /yingpanguazai/ssd/ssd1/www/a.460.net.cn/vendor/topthink/think-dumper/src/helper.php ( 0.18 KB )
  18. /yingpanguazai/ssd/ssd1/www/a.460.net.cn/vendor/symfony/var-dumper/VarDumper.php ( 4.30 KB )
  19. /yingpanguazai/ssd/ssd1/www/a.460.net.cn/vendor/topthink/framework/src/think/App.php ( 15.30 KB )
  20. /yingpanguazai/ssd/ssd1/www/a.460.net.cn/vendor/topthink/think-container/src/Container.php ( 15.76 KB )
  21. /yingpanguazai/ssd/ssd1/www/a.460.net.cn/vendor/psr/container/src/ContainerInterface.php ( 1.02 KB )
  22. /yingpanguazai/ssd/ssd1/www/a.460.net.cn/app/provider.php ( 0.19 KB )
  23. /yingpanguazai/ssd/ssd1/www/a.460.net.cn/vendor/topthink/framework/src/think/Http.php ( 6.04 KB )
  24. /yingpanguazai/ssd/ssd1/www/a.460.net.cn/vendor/topthink/think-helper/src/helper/Str.php ( 7.29 KB )
  25. /yingpanguazai/ssd/ssd1/www/a.460.net.cn/vendor/topthink/framework/src/think/Env.php ( 4.68 KB )
  26. /yingpanguazai/ssd/ssd1/www/a.460.net.cn/app/common.php ( 0.03 KB )
  27. /yingpanguazai/ssd/ssd1/www/a.460.net.cn/vendor/topthink/framework/src/helper.php ( 18.78 KB )
  28. /yingpanguazai/ssd/ssd1/www/a.460.net.cn/vendor/topthink/framework/src/think/Config.php ( 5.54 KB )
  29. /yingpanguazai/ssd/ssd1/www/a.460.net.cn/config/app.php ( 0.95 KB )
  30. /yingpanguazai/ssd/ssd1/www/a.460.net.cn/config/cache.php ( 0.78 KB )
  31. /yingpanguazai/ssd/ssd1/www/a.460.net.cn/config/console.php ( 0.23 KB )
  32. /yingpanguazai/ssd/ssd1/www/a.460.net.cn/config/cookie.php ( 0.56 KB )
  33. /yingpanguazai/ssd/ssd1/www/a.460.net.cn/config/database.php ( 2.48 KB )
  34. /yingpanguazai/ssd/ssd1/www/a.460.net.cn/vendor/topthink/framework/src/think/facade/Env.php ( 1.67 KB )
  35. /yingpanguazai/ssd/ssd1/www/a.460.net.cn/config/filesystem.php ( 0.61 KB )
  36. /yingpanguazai/ssd/ssd1/www/a.460.net.cn/config/lang.php ( 0.91 KB )
  37. /yingpanguazai/ssd/ssd1/www/a.460.net.cn/config/log.php ( 1.35 KB )
  38. /yingpanguazai/ssd/ssd1/www/a.460.net.cn/config/middleware.php ( 0.19 KB )
  39. /yingpanguazai/ssd/ssd1/www/a.460.net.cn/config/route.php ( 1.89 KB )
  40. /yingpanguazai/ssd/ssd1/www/a.460.net.cn/config/session.php ( 0.57 KB )
  41. /yingpanguazai/ssd/ssd1/www/a.460.net.cn/config/trace.php ( 0.34 KB )
  42. /yingpanguazai/ssd/ssd1/www/a.460.net.cn/config/view.php ( 0.82 KB )
  43. /yingpanguazai/ssd/ssd1/www/a.460.net.cn/app/event.php ( 0.25 KB )
  44. /yingpanguazai/ssd/ssd1/www/a.460.net.cn/vendor/topthink/framework/src/think/Event.php ( 7.67 KB )
  45. /yingpanguazai/ssd/ssd1/www/a.460.net.cn/app/service.php ( 0.13 KB )
  46. /yingpanguazai/ssd/ssd1/www/a.460.net.cn/app/AppService.php ( 0.26 KB )
  47. /yingpanguazai/ssd/ssd1/www/a.460.net.cn/vendor/topthink/framework/src/think/Service.php ( 1.64 KB )
  48. /yingpanguazai/ssd/ssd1/www/a.460.net.cn/vendor/topthink/framework/src/think/Lang.php ( 7.35 KB )
  49. /yingpanguazai/ssd/ssd1/www/a.460.net.cn/vendor/topthink/framework/src/lang/zh-cn.php ( 13.70 KB )
  50. /yingpanguazai/ssd/ssd1/www/a.460.net.cn/vendor/topthink/framework/src/think/initializer/Error.php ( 3.31 KB )
  51. /yingpanguazai/ssd/ssd1/www/a.460.net.cn/vendor/topthink/framework/src/think/initializer/RegisterService.php ( 1.33 KB )
  52. /yingpanguazai/ssd/ssd1/www/a.460.net.cn/vendor/services.php ( 0.14 KB )
  53. /yingpanguazai/ssd/ssd1/www/a.460.net.cn/vendor/topthink/framework/src/think/service/PaginatorService.php ( 1.52 KB )
  54. /yingpanguazai/ssd/ssd1/www/a.460.net.cn/vendor/topthink/framework/src/think/service/ValidateService.php ( 0.99 KB )
  55. /yingpanguazai/ssd/ssd1/www/a.460.net.cn/vendor/topthink/framework/src/think/service/ModelService.php ( 2.04 KB )
  56. /yingpanguazai/ssd/ssd1/www/a.460.net.cn/vendor/topthink/think-trace/src/Service.php ( 0.77 KB )
  57. /yingpanguazai/ssd/ssd1/www/a.460.net.cn/vendor/topthink/framework/src/think/Middleware.php ( 6.72 KB )
  58. /yingpanguazai/ssd/ssd1/www/a.460.net.cn/vendor/topthink/framework/src/think/initializer/BootService.php ( 0.77 KB )
  59. /yingpanguazai/ssd/ssd1/www/a.460.net.cn/vendor/topthink/think-orm/src/Paginator.php ( 11.86 KB )
  60. /yingpanguazai/ssd/ssd1/www/a.460.net.cn/vendor/topthink/think-validate/src/Validate.php ( 63.20 KB )
  61. /yingpanguazai/ssd/ssd1/www/a.460.net.cn/vendor/topthink/think-orm/src/Model.php ( 23.55 KB )
  62. /yingpanguazai/ssd/ssd1/www/a.460.net.cn/vendor/topthink/think-orm/src/model/concern/Attribute.php ( 21.05 KB )
  63. /yingpanguazai/ssd/ssd1/www/a.460.net.cn/vendor/topthink/think-orm/src/model/concern/AutoWriteData.php ( 4.21 KB )
  64. /yingpanguazai/ssd/ssd1/www/a.460.net.cn/vendor/topthink/think-orm/src/model/concern/Conversion.php ( 6.44 KB )
  65. /yingpanguazai/ssd/ssd1/www/a.460.net.cn/vendor/topthink/think-orm/src/model/concern/DbConnect.php ( 5.16 KB )
  66. /yingpanguazai/ssd/ssd1/www/a.460.net.cn/vendor/topthink/think-orm/src/model/concern/ModelEvent.php ( 2.33 KB )
  67. /yingpanguazai/ssd/ssd1/www/a.460.net.cn/vendor/topthink/think-orm/src/model/concern/RelationShip.php ( 28.29 KB )
  68. /yingpanguazai/ssd/ssd1/www/a.460.net.cn/vendor/topthink/think-helper/src/contract/Arrayable.php ( 0.09 KB )
  69. /yingpanguazai/ssd/ssd1/www/a.460.net.cn/vendor/topthink/think-helper/src/contract/Jsonable.php ( 0.13 KB )
  70. /yingpanguazai/ssd/ssd1/www/a.460.net.cn/vendor/topthink/think-orm/src/model/contract/Modelable.php ( 0.09 KB )
  71. /yingpanguazai/ssd/ssd1/www/a.460.net.cn/vendor/topthink/framework/src/think/Db.php ( 2.88 KB )
  72. /yingpanguazai/ssd/ssd1/www/a.460.net.cn/vendor/topthink/think-orm/src/DbManager.php ( 8.52 KB )
  73. /yingpanguazai/ssd/ssd1/www/a.460.net.cn/vendor/topthink/framework/src/think/Log.php ( 6.28 KB )
  74. /yingpanguazai/ssd/ssd1/www/a.460.net.cn/vendor/topthink/framework/src/think/Manager.php ( 3.92 KB )
  75. /yingpanguazai/ssd/ssd1/www/a.460.net.cn/vendor/psr/log/src/LoggerTrait.php ( 2.69 KB )
  76. /yingpanguazai/ssd/ssd1/www/a.460.net.cn/vendor/psr/log/src/LoggerInterface.php ( 2.71 KB )
  77. /yingpanguazai/ssd/ssd1/www/a.460.net.cn/vendor/topthink/framework/src/think/Cache.php ( 4.92 KB )
  78. /yingpanguazai/ssd/ssd1/www/a.460.net.cn/vendor/psr/simple-cache/src/CacheInterface.php ( 4.71 KB )
  79. /yingpanguazai/ssd/ssd1/www/a.460.net.cn/vendor/topthink/think-helper/src/helper/Arr.php ( 16.63 KB )
  80. /yingpanguazai/ssd/ssd1/www/a.460.net.cn/vendor/topthink/framework/src/think/cache/driver/File.php ( 7.84 KB )
  81. /yingpanguazai/ssd/ssd1/www/a.460.net.cn/vendor/topthink/framework/src/think/cache/Driver.php ( 9.03 KB )
  82. /yingpanguazai/ssd/ssd1/www/a.460.net.cn/vendor/topthink/framework/src/think/contract/CacheHandlerInterface.php ( 1.99 KB )
  83. /yingpanguazai/ssd/ssd1/www/a.460.net.cn/app/Request.php ( 0.09 KB )
  84. /yingpanguazai/ssd/ssd1/www/a.460.net.cn/vendor/topthink/framework/src/think/Request.php ( 55.78 KB )
  85. /yingpanguazai/ssd/ssd1/www/a.460.net.cn/app/middleware.php ( 0.25 KB )
  86. /yingpanguazai/ssd/ssd1/www/a.460.net.cn/vendor/topthink/framework/src/think/Pipeline.php ( 2.61 KB )
  87. /yingpanguazai/ssd/ssd1/www/a.460.net.cn/vendor/topthink/think-trace/src/TraceDebug.php ( 3.40 KB )
  88. /yingpanguazai/ssd/ssd1/www/a.460.net.cn/vendor/topthink/framework/src/think/middleware/SessionInit.php ( 1.94 KB )
  89. /yingpanguazai/ssd/ssd1/www/a.460.net.cn/vendor/topthink/framework/src/think/Session.php ( 1.80 KB )
  90. /yingpanguazai/ssd/ssd1/www/a.460.net.cn/vendor/topthink/framework/src/think/session/driver/File.php ( 6.27 KB )
  91. /yingpanguazai/ssd/ssd1/www/a.460.net.cn/vendor/topthink/framework/src/think/contract/SessionHandlerInterface.php ( 0.87 KB )
  92. /yingpanguazai/ssd/ssd1/www/a.460.net.cn/vendor/topthink/framework/src/think/session/Store.php ( 7.12 KB )
  93. /yingpanguazai/ssd/ssd1/www/a.460.net.cn/vendor/topthink/framework/src/think/Route.php ( 23.73 KB )
  94. /yingpanguazai/ssd/ssd1/www/a.460.net.cn/vendor/topthink/framework/src/think/route/RuleName.php ( 5.75 KB )
  95. /yingpanguazai/ssd/ssd1/www/a.460.net.cn/vendor/topthink/framework/src/think/route/Domain.php ( 2.53 KB )
  96. /yingpanguazai/ssd/ssd1/www/a.460.net.cn/vendor/topthink/framework/src/think/route/RuleGroup.php ( 22.43 KB )
  97. /yingpanguazai/ssd/ssd1/www/a.460.net.cn/vendor/topthink/framework/src/think/route/Rule.php ( 26.95 KB )
  98. /yingpanguazai/ssd/ssd1/www/a.460.net.cn/vendor/topthink/framework/src/think/route/RuleItem.php ( 9.78 KB )
  99. /yingpanguazai/ssd/ssd1/www/a.460.net.cn/route/app.php ( 1.72 KB )
  100. /yingpanguazai/ssd/ssd1/www/a.460.net.cn/vendor/topthink/framework/src/think/facade/Route.php ( 4.70 KB )
  101. /yingpanguazai/ssd/ssd1/www/a.460.net.cn/vendor/topthink/framework/src/think/route/dispatch/Controller.php ( 4.74 KB )
  102. /yingpanguazai/ssd/ssd1/www/a.460.net.cn/vendor/topthink/framework/src/think/route/Dispatch.php ( 10.44 KB )
  103. /yingpanguazai/ssd/ssd1/www/a.460.net.cn/app/controller/Index.php ( 4.81 KB )
  104. /yingpanguazai/ssd/ssd1/www/a.460.net.cn/app/BaseController.php ( 2.05 KB )
  105. /yingpanguazai/ssd/ssd1/www/a.460.net.cn/vendor/topthink/think-orm/src/facade/Db.php ( 0.93 KB )
  106. /yingpanguazai/ssd/ssd1/www/a.460.net.cn/vendor/topthink/think-orm/src/db/connector/Mysql.php ( 5.44 KB )
  107. /yingpanguazai/ssd/ssd1/www/a.460.net.cn/vendor/topthink/think-orm/src/db/PDOConnection.php ( 52.47 KB )
  108. /yingpanguazai/ssd/ssd1/www/a.460.net.cn/vendor/topthink/think-orm/src/db/Connection.php ( 8.39 KB )
  109. /yingpanguazai/ssd/ssd1/www/a.460.net.cn/vendor/topthink/think-orm/src/db/ConnectionInterface.php ( 4.57 KB )
  110. /yingpanguazai/ssd/ssd1/www/a.460.net.cn/vendor/topthink/think-orm/src/db/builder/Mysql.php ( 16.58 KB )
  111. /yingpanguazai/ssd/ssd1/www/a.460.net.cn/vendor/topthink/think-orm/src/db/Builder.php ( 24.06 KB )
  112. /yingpanguazai/ssd/ssd1/www/a.460.net.cn/vendor/topthink/think-orm/src/db/BaseBuilder.php ( 27.50 KB )
  113. /yingpanguazai/ssd/ssd1/www/a.460.net.cn/vendor/topthink/think-orm/src/db/Query.php ( 15.71 KB )
  114. /yingpanguazai/ssd/ssd1/www/a.460.net.cn/vendor/topthink/think-orm/src/db/BaseQuery.php ( 45.13 KB )
  115. /yingpanguazai/ssd/ssd1/www/a.460.net.cn/vendor/topthink/think-orm/src/db/concern/TimeFieldQuery.php ( 7.43 KB )
  116. /yingpanguazai/ssd/ssd1/www/a.460.net.cn/vendor/topthink/think-orm/src/db/concern/AggregateQuery.php ( 3.26 KB )
  117. /yingpanguazai/ssd/ssd1/www/a.460.net.cn/vendor/topthink/think-orm/src/db/concern/ModelRelationQuery.php ( 20.07 KB )
  118. /yingpanguazai/ssd/ssd1/www/a.460.net.cn/vendor/topthink/think-orm/src/db/concern/ParamsBind.php ( 3.66 KB )
  119. /yingpanguazai/ssd/ssd1/www/a.460.net.cn/vendor/topthink/think-orm/src/db/concern/ResultOperation.php ( 7.01 KB )
  120. /yingpanguazai/ssd/ssd1/www/a.460.net.cn/vendor/topthink/think-orm/src/db/concern/WhereQuery.php ( 19.37 KB )
  121. /yingpanguazai/ssd/ssd1/www/a.460.net.cn/vendor/topthink/think-orm/src/db/concern/JoinAndViewQuery.php ( 7.11 KB )
  122. /yingpanguazai/ssd/ssd1/www/a.460.net.cn/vendor/topthink/think-orm/src/db/concern/TableFieldInfo.php ( 2.63 KB )
  123. /yingpanguazai/ssd/ssd1/www/a.460.net.cn/vendor/topthink/think-orm/src/db/concern/Transaction.php ( 2.77 KB )
  124. /yingpanguazai/ssd/ssd1/www/a.460.net.cn/vendor/topthink/framework/src/think/log/driver/File.php ( 5.96 KB )
  125. /yingpanguazai/ssd/ssd1/www/a.460.net.cn/vendor/topthink/framework/src/think/contract/LogHandlerInterface.php ( 0.86 KB )
  126. /yingpanguazai/ssd/ssd1/www/a.460.net.cn/vendor/topthink/framework/src/think/log/Channel.php ( 3.89 KB )
  127. /yingpanguazai/ssd/ssd1/www/a.460.net.cn/vendor/topthink/framework/src/think/event/LogRecord.php ( 1.02 KB )
  128. /yingpanguazai/ssd/ssd1/www/a.460.net.cn/vendor/topthink/think-helper/src/Collection.php ( 16.47 KB )
  129. /yingpanguazai/ssd/ssd1/www/a.460.net.cn/vendor/topthink/framework/src/think/facade/View.php ( 1.70 KB )
  130. /yingpanguazai/ssd/ssd1/www/a.460.net.cn/vendor/topthink/framework/src/think/View.php ( 4.39 KB )
  131. /yingpanguazai/ssd/ssd1/www/a.460.net.cn/vendor/topthink/framework/src/think/Response.php ( 8.81 KB )
  132. /yingpanguazai/ssd/ssd1/www/a.460.net.cn/vendor/topthink/framework/src/think/response/View.php ( 3.29 KB )
  133. /yingpanguazai/ssd/ssd1/www/a.460.net.cn/vendor/topthink/framework/src/think/Cookie.php ( 6.06 KB )
  134. /yingpanguazai/ssd/ssd1/www/a.460.net.cn/vendor/topthink/think-view/src/Think.php ( 8.38 KB )
  135. /yingpanguazai/ssd/ssd1/www/a.460.net.cn/vendor/topthink/framework/src/think/contract/TemplateHandlerInterface.php ( 1.60 KB )
  136. /yingpanguazai/ssd/ssd1/www/a.460.net.cn/vendor/topthink/think-template/src/Template.php ( 46.61 KB )
  137. /yingpanguazai/ssd/ssd1/www/a.460.net.cn/vendor/topthink/think-template/src/template/driver/File.php ( 2.41 KB )
  138. /yingpanguazai/ssd/ssd1/www/a.460.net.cn/vendor/topthink/think-template/src/template/contract/DriverInterface.php ( 0.86 KB )
  139. /yingpanguazai/ssd/ssd1/www/a.460.net.cn/runtime/temp/80ec142d437acc197a4b556a08c383fc.php ( 11.98 KB )
  140. /yingpanguazai/ssd/ssd1/www/a.460.net.cn/vendor/topthink/think-trace/src/Html.php ( 4.42 KB )
  1. CONNECT:[ UseTime:0.001031s ] mysql:host=127.0.0.1;port=3306;dbname=aa460;charset=utf8mb4
  2. SHOW FULL COLUMNS FROM `fenlei` [ RunTime:0.001588s ]
  3. SELECT * FROM `fenlei` WHERE `fid` = 0 [ RunTime:0.000640s ]
  4. SELECT * FROM `fenlei` WHERE `fid` = 63 [ RunTime:0.000639s ]
  5. SHOW FULL COLUMNS FROM `set` [ RunTime:0.001311s ]
  6. SELECT * FROM `set` [ RunTime:0.000548s ]
  7. SHOW FULL COLUMNS FROM `article` [ RunTime:0.001620s ]
  8. SELECT * FROM `article` WHERE `id` = 485490 LIMIT 1 [ RunTime:0.001176s ]
  9. UPDATE `article` SET `lasttime` = 1775835917 WHERE `id` = 485490 [ RunTime:0.015083s ]
  10. SELECT * FROM `fenlei` WHERE `id` = 64 LIMIT 1 [ RunTime:0.000276s ]
  11. SELECT * FROM `article` WHERE `id` < 485490 ORDER BY `id` DESC LIMIT 1 [ RunTime:0.000480s ]
  12. SELECT * FROM `article` WHERE `id` > 485490 ORDER BY `id` ASC LIMIT 1 [ RunTime:0.000378s ]
  13. SELECT * FROM `article` WHERE `id` < 485490 ORDER BY `id` DESC LIMIT 10 [ RunTime:0.000717s ]
  14. SELECT * FROM `article` WHERE `id` < 485490 ORDER BY `id` DESC LIMIT 10,10 [ RunTime:0.001025s ]
  15. SELECT * FROM `article` WHERE `id` < 485490 ORDER BY `id` DESC LIMIT 20,10 [ RunTime:0.000938s ]
0.178259s