当前位置:首页>南昌>南昌大学陈义旺/袁凯,最新EES!工程设计空间电子桥助力分子异质结构单原子催化剂实现高效氧还原反应!

南昌大学陈义旺/袁凯,最新EES!工程设计空间电子桥助力分子异质结构单原子催化剂实现高效氧还原反应!

  • 2026-03-25 18:13:55
南昌大学陈义旺/袁凯,最新EES!工程设计空间电子桥助力分子异质结构单原子催化剂实现高效氧还原反应!
丨汇编来源公开信息丨版权归原作者所有丨

丨旨在分享学术交流丨能力有限欢迎指正丨

「上海岱算科技有限公司」已向境内外230余家高等院校/科研院所提供了累计1400多项模拟计算服务,赋能科学研究提速增效!合作实验课题组在线发表学术论文期刊有ACS系列、AM系列、Angew、CEJ、EST、JACS、Matter、Nature子刊等,助力科研工作锦上添花!

分子单原子催化剂(SACs具有可调明确的活性位点,使其成为探索氧还原反应ORR)基本原理的理想模型系统,然而高效分子SACs仍然受到易于团聚、活性位点的平面对称性、氧中间体的次优吸附/脱附以及较差的导电性的困扰。

20260319日,南昌大学陈义旺袁凯团队在Energy & Environmental Science期刊发表题为“Engineering Spatial Electron Bridge in Molecular Heterostructure Single-Atom Catalyst for Oxygen Electroreduction”的研究论文,团队成员Gu QiaoHuang Mingtao为论文共同第一作者,陈义旺、袁凯为论文共同通讯作者。

第一作者:Gu QiaoHuang Mingtao

通讯作者:陈义旺、袁凯

通讯单位:南昌大学

论文DOI10.1039/D6EE00888G

该研究提出空间电子桥工程作为一种通用策略,以打破Fe–N₄单元的平面构型,调制电子结构,并增强界面耦合。通过将活性与理论过电势相关联的双描述符(ΔG*OH(ΔG*O–ΔG*OH))分析,系统解析了对称性破缺的X–Fe–N₄X=OSN)位点中的构效关系。分子异质结构SACs通过将铁吡啶六氮杂环芳烃大环(Fe(Phen)₂)连接到电子桥(苯酚、苯硫酚、吡啶)功能化的碳纳米管(CNT)上构建而成,形成了精确控制的CNT–X–Fe架构。结合光谱研究和DFT计算揭示,苯酚桥通过电子桥到金属的电荷转移触发了低到中自旋态的转变,促进了Fe(Phen)₂CNT之间的快速电子穿梭。这优化了Fe d带中心占据并增强了反键轨道杂化,产生了最佳ORR性能。该研究确立了空间电子桥作为轨道耦合枢纽,将量子层面的d–p杂化与宏观催化性能连接起来,为分子级精确的电催化剂提供了一个普适的设计框架。

锌空电池(ZABs因其环境友好、高本征安全性和高能量密度,被认为是一种具有大规模应用前景的储能技术。氧还原反应(ORRZABs中扮演着不可或缺的角色,并对其应用前景产生重大影响。然而,涉及多电子和质子耦合的ORR动力学缓慢且机理复杂,严重限制了ZABs的高效能量转换。Pt基材料因其优异的催化效率而能有效促进ORR过程,但其高昂的成本、稀缺性和不稳定性阻碍了其广泛的商业化应用。因此,持续寻找高效且廉价的ORR催化剂一直是研究焦点。

单原子催化剂SACs,特别是氮掺杂碳上的单分散金属活性位点M-N-C材料,因其可调的电子密度、独特的几何构型、最大的原子利用效率和低成本,在提升ORR催化性能方面引起了广泛兴趣。为了增强M-N-C的导电性和催化性能,大多数M-N-C是通过高温下将金属位点通过强共价相互作用或金属-载体相互作用嵌入到各种碳质载体中合成的。然而,这种高温过程会诱导结构转变,从而产生非均相的活性位点,进而阻碍了构效关系的建立并使机理研究复杂化。具有明确结构的分子催化剂为深入理解催化剂的构效关系提供了一个系统性的平台。然而,尽管分子催化剂在设计中实现了原子级别的精确性,但存在易团聚、稳定性差、电子传导性不佳以及ORR催化活性欠佳等问题。为了显著提升分子催化剂的导电性、稳定性和活性,将其固定在导电基底上是一种可行的策略。此外,在基底和分子催化剂之间引入空间电子桥,打破了活性位点的对称电子构型,这些桥作为轨道耦合枢纽增强了它们的界面相互作用。这种空间电子桥的构建有助于界面电子穿梭,同时精确调控催化剂的本征活性。尽管如此,空间电子桥与ORR性能之间的调控机制及其复杂关系仍未完全阐明。

研究采用具有四吡啶配位环境的铁吡啶六氮杂环芳烃大环(Fe(Phen)₂)作为模型催化剂,以解析空间电子桥与本征活性之间的构效关系。研究人员构建了一个基于ΔG*OHΔG*O– ΔG*OH关系的理论描述符,并将推导出的火山图与计算出的过电势(η)相关联,以预测催化剂性能。性能预测火山图证实,具有适当给电子能力的空间电子桥能够优化Fe位点的3d轨道填充,并使d带中心下移,伴随更多的反键态轨道占据,从而表现出最低的η。为了系统评估火山图在性能预测中的可靠性,研究人员通过在碳纳米管上引入不同的空间电子桥(苯酚、苯硫酚和吡啶),制备了一系列具有对称性破缺的X-Fe-N₄单元的分子异质结构单原子催化剂(CNT-X-FeX=O, S, N),以揭示电子桥与ORR性能之间的构效关系。ORR性能随电子桥给电子能力的增强呈现火山图趋势,其中具有苯酚电子桥的催化剂(CNT-O-Fe)表现出最高的ORR活性(起始电位Eonset= 0.94 V,半波电位E1/2 = 0.85 V)和最快的ORR动力学,其在过电势η=0.4 V时的转换频率(TOF)为1.61 e⁻¹ s⁻¹。系统的实验表明,苯酚电子桥增加了Fe中心的有效磁矩,使其自旋态从低自旋转变为中自旋,并增加了d轨道电子占据数(d⁵·¹² → d⁵·¹⁵),从而优化了Fe 3d轨道的电子排布,进而调控了对含氧中间体的吸附强度。进一步的扫描电化学显微镜和变频方波伏安技术证明,CNT-O-Fe增强的本征反应活性和加速的ORR动力学归因于其显著的可及活性位点密度(3.1 × 10¹⁹ site g⁻¹)和快速的电子穿梭动力学。该研究系统阐明了空间电子桥工程对催化活性位点本征活性的调控机制,并建立了一个全面的构效关系,定量地将电子桥的电子耦合相互作用与ORR性能联系起来。

1a) π-π相互作用与空间电子桥工程的示意图和比较。b) 具有不同给电子能力的去质子化空间电子桥结构,其给电子能力随柱状图高度增加而增强(苯酚<苯硫酚<吡啶)。c) 无空间电子桥和具有不同空间电子桥的活性位点的磁矩。d) 磁矩与ΔG*OH之间的火山图趋势。e) 计算得到的ORR活性火山图。

2a) CNT-FeCNT-X-FeΔG*O– ΔG*OHΔG*OH的函数关系。白色虚线分隔了对应于不同决速步的三个区域。b) U = 0.46 V时,CNT-FeCNT-X-Fe的吉布斯自由能图。c) 起始电位与ΔG*OH的火山图。d) 四个模型的投影态密度PDOSe) CNT-Fe(上)和CNT-O-Fe(下)的轨道杂化示意图。f) CNT-FeCNT-O-FeCNT-S-FeCNT-N-Fe吸附含氧中间体后的电荷密度差。

3a) 具有空间电子桥工程的分子异质结构单原子催化剂(CNT-X-Fe)的结构。b) CNT-O-FeTEM图像。c) CNT-O-Fe像差校正HAADF STEM图像。孤立的Fe原子用黄色圆圈标出。d) HAADF STEM图像及对应的CNOFe的元素能量EDS面扫图像。

4.(a)CNT-X-FeCNT-Fe的高分辨率Fe2pXPS谱图和(b)N1sXPS谱图。(c)CNT-X-FeCNT-Fe相应的Fe2pN1s结合能点线图。(d)归一化的FeK-edgeXANES谱图及(e)CNT-X-FeCNT-Fe拟合的平均形式d带电子计数。(f)CNT-X-FeCNT-FeFe(Phen)₂加权傅里叶变换FeK-edgeEXAFS谱图,以Fe箔、FeOFe₂O₃作为参照。(g)CNT-O-Fe(h)CNT-FeFeK-edgeEXAFS小波变换图。

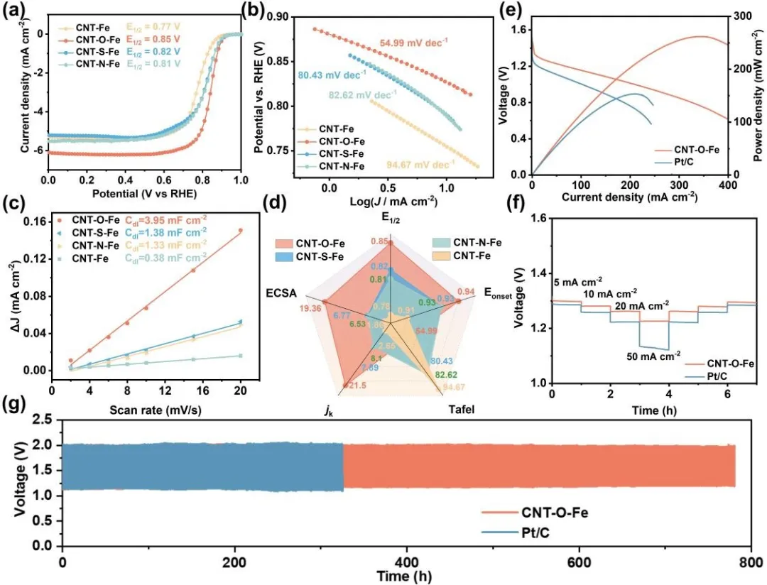
5.(a)LSV极化曲线,(b)Tafel图,(c)双层电容(Cdl)(d)CNT-X-FeCNT-FeEonsetE1/2Tafel斜率、jk(0.80Vvs.RHE)ECSA对比图。(e)极化曲线及相应的功率密度图。(f)ZAB在不同电流密度下的恒流放电曲线。(g)使用CNT-O-FePt/C作为催化剂时,ZAB20mAcm⁻²电流密度下的长期放电/充电循环性能。

6.a)CNT-O-Feb)CNT-FeVF-SWV彩色图谱。c)SECM测试系统示意图。d)CNT-O-Fee)CNT-SFef)CNT-N-Feg)CNT-Fe在基底电位0.0V(vs.RHE)下的SECM图像。h)CNT-O-FeCNT-S-FeCNT-N-FeCNT-FeSDTOF反应性图谱(η=0.4V)i)含有CNTCNT-FeCNT-N-FeCNT-S-FeCNT-O-Fe的乙腈溶液中TCNQUV-vis谱图。

7a) 使用1 mM K₃[Fe(CN)₆] / 0.1 M KCl探针测得的CNT-X-FeCNT-Fe的界面电子转移速率常数。b) CNT-FeCNT-X-FeAu电极和玻碳电极上[Fe(CN)₆]³⁻氧化还原结果的比较。c) CNT-O-Fe800 – 2000 cm⁻¹范围内用于ORR的原位ATR-SEIRAS光谱。d) T = 100 K下记录的低温柔外自旋共振光谱。e) CNT-FeCNT-X-Fe催化剂的磁化率。f) CNT-FeCNT-O-Fe电极的自旋态示意图(LS代表低自旋,MS代表中自旋)。

总之,该研究构建了一系列具有空间电子桥(苯酚、苯硫酚和吡啶)的、Fe(Phen)₂基分子异质结构SACs。密度泛函理论DFT计算证实,与通过π-π堆叠的CNT-Fe相比,具有适当给电子能力的苯酚电子桥的CNT-O-Fe,优化了Fe位点的3d电子轨道填充,并使d带中心下移,伴随更多的反键态轨道占据,从而表现出最低的过电势η。因此,CNT-O-Fe展现出最优的半波电位E₁/₂0.85 V)和快速的ORR动力学,在过电势η=0.4 V时的转换频率(TOF)为1.61 e⁻¹ site⁻¹。系统的实验表明,苯酚电子桥增加了Fe中心的有效磁矩,使其自旋态从低自旋转变为中自旋,并增加了d带电子占据数(d⁵·¹² → d⁶·¹⁵)。进一步的SECMVF-SWV探测到,CNT-O-Fe增强的本征反应活性和加速的ORR动力学归因于其显著的可及活性位点密度(3.1 × 10¹⁹ site g⁻¹)和快速的电子穿梭动力学。该研究揭示了电子桥工程与ORR本征催化活性之间机理联系的新视角,为设计用于可再生能源转换的先进SACs提供了合理框架。

最新文章

随机文章

基本 文件 流程 错误 SQL 调试
  1. 请求信息 : 2026-04-07 01:14:05 HTTP/2.0 GET : https://a.460.net.cn/a/487233.html
  2. 运行时间 : 0.095880s [ 吞吐率:10.43req/s ] 内存消耗:4,690.60kb 文件加载:140
  3. 缓存信息 : 0 reads,0 writes
  4. 会话信息 : SESSION_ID=401582c8401e212287eeb4f93367dda8
  1. /yingpanguazai/ssd/ssd1/www/a.460.net.cn/public/index.php ( 0.79 KB )
  2. /yingpanguazai/ssd/ssd1/www/a.460.net.cn/vendor/autoload.php ( 0.17 KB )
  3. /yingpanguazai/ssd/ssd1/www/a.460.net.cn/vendor/composer/autoload_real.php ( 2.49 KB )
  4. /yingpanguazai/ssd/ssd1/www/a.460.net.cn/vendor/composer/platform_check.php ( 0.90 KB )
  5. /yingpanguazai/ssd/ssd1/www/a.460.net.cn/vendor/composer/ClassLoader.php ( 14.03 KB )
  6. /yingpanguazai/ssd/ssd1/www/a.460.net.cn/vendor/composer/autoload_static.php ( 4.90 KB )
  7. /yingpanguazai/ssd/ssd1/www/a.460.net.cn/vendor/topthink/think-helper/src/helper.php ( 8.34 KB )
  8. /yingpanguazai/ssd/ssd1/www/a.460.net.cn/vendor/topthink/think-validate/src/helper.php ( 2.19 KB )
  9. /yingpanguazai/ssd/ssd1/www/a.460.net.cn/vendor/topthink/think-orm/src/helper.php ( 1.47 KB )
  10. /yingpanguazai/ssd/ssd1/www/a.460.net.cn/vendor/topthink/think-orm/stubs/load_stubs.php ( 0.16 KB )
  11. /yingpanguazai/ssd/ssd1/www/a.460.net.cn/vendor/topthink/framework/src/think/Exception.php ( 1.69 KB )
  12. /yingpanguazai/ssd/ssd1/www/a.460.net.cn/vendor/topthink/think-container/src/Facade.php ( 2.71 KB )
  13. /yingpanguazai/ssd/ssd1/www/a.460.net.cn/vendor/symfony/deprecation-contracts/function.php ( 0.99 KB )
  14. /yingpanguazai/ssd/ssd1/www/a.460.net.cn/vendor/symfony/polyfill-mbstring/bootstrap.php ( 8.26 KB )
  15. /yingpanguazai/ssd/ssd1/www/a.460.net.cn/vendor/symfony/polyfill-mbstring/bootstrap80.php ( 9.78 KB )
  16. /yingpanguazai/ssd/ssd1/www/a.460.net.cn/vendor/symfony/var-dumper/Resources/functions/dump.php ( 1.49 KB )
  17. /yingpanguazai/ssd/ssd1/www/a.460.net.cn/vendor/topthink/think-dumper/src/helper.php ( 0.18 KB )
  18. /yingpanguazai/ssd/ssd1/www/a.460.net.cn/vendor/symfony/var-dumper/VarDumper.php ( 4.30 KB )
  19. /yingpanguazai/ssd/ssd1/www/a.460.net.cn/vendor/topthink/framework/src/think/App.php ( 15.30 KB )
  20. /yingpanguazai/ssd/ssd1/www/a.460.net.cn/vendor/topthink/think-container/src/Container.php ( 15.76 KB )
  21. /yingpanguazai/ssd/ssd1/www/a.460.net.cn/vendor/psr/container/src/ContainerInterface.php ( 1.02 KB )
  22. /yingpanguazai/ssd/ssd1/www/a.460.net.cn/app/provider.php ( 0.19 KB )
  23. /yingpanguazai/ssd/ssd1/www/a.460.net.cn/vendor/topthink/framework/src/think/Http.php ( 6.04 KB )
  24. /yingpanguazai/ssd/ssd1/www/a.460.net.cn/vendor/topthink/think-helper/src/helper/Str.php ( 7.29 KB )
  25. /yingpanguazai/ssd/ssd1/www/a.460.net.cn/vendor/topthink/framework/src/think/Env.php ( 4.68 KB )
  26. /yingpanguazai/ssd/ssd1/www/a.460.net.cn/app/common.php ( 0.03 KB )
  27. /yingpanguazai/ssd/ssd1/www/a.460.net.cn/vendor/topthink/framework/src/helper.php ( 18.78 KB )
  28. /yingpanguazai/ssd/ssd1/www/a.460.net.cn/vendor/topthink/framework/src/think/Config.php ( 5.54 KB )
  29. /yingpanguazai/ssd/ssd1/www/a.460.net.cn/config/app.php ( 0.95 KB )
  30. /yingpanguazai/ssd/ssd1/www/a.460.net.cn/config/cache.php ( 0.78 KB )
  31. /yingpanguazai/ssd/ssd1/www/a.460.net.cn/config/console.php ( 0.23 KB )
  32. /yingpanguazai/ssd/ssd1/www/a.460.net.cn/config/cookie.php ( 0.56 KB )
  33. /yingpanguazai/ssd/ssd1/www/a.460.net.cn/config/database.php ( 2.48 KB )
  34. /yingpanguazai/ssd/ssd1/www/a.460.net.cn/vendor/topthink/framework/src/think/facade/Env.php ( 1.67 KB )
  35. /yingpanguazai/ssd/ssd1/www/a.460.net.cn/config/filesystem.php ( 0.61 KB )
  36. /yingpanguazai/ssd/ssd1/www/a.460.net.cn/config/lang.php ( 0.91 KB )
  37. /yingpanguazai/ssd/ssd1/www/a.460.net.cn/config/log.php ( 1.35 KB )
  38. /yingpanguazai/ssd/ssd1/www/a.460.net.cn/config/middleware.php ( 0.19 KB )
  39. /yingpanguazai/ssd/ssd1/www/a.460.net.cn/config/route.php ( 1.89 KB )
  40. /yingpanguazai/ssd/ssd1/www/a.460.net.cn/config/session.php ( 0.57 KB )
  41. /yingpanguazai/ssd/ssd1/www/a.460.net.cn/config/trace.php ( 0.34 KB )
  42. /yingpanguazai/ssd/ssd1/www/a.460.net.cn/config/view.php ( 0.82 KB )
  43. /yingpanguazai/ssd/ssd1/www/a.460.net.cn/app/event.php ( 0.25 KB )
  44. /yingpanguazai/ssd/ssd1/www/a.460.net.cn/vendor/topthink/framework/src/think/Event.php ( 7.67 KB )
  45. /yingpanguazai/ssd/ssd1/www/a.460.net.cn/app/service.php ( 0.13 KB )
  46. /yingpanguazai/ssd/ssd1/www/a.460.net.cn/app/AppService.php ( 0.26 KB )
  47. /yingpanguazai/ssd/ssd1/www/a.460.net.cn/vendor/topthink/framework/src/think/Service.php ( 1.64 KB )
  48. /yingpanguazai/ssd/ssd1/www/a.460.net.cn/vendor/topthink/framework/src/think/Lang.php ( 7.35 KB )
  49. /yingpanguazai/ssd/ssd1/www/a.460.net.cn/vendor/topthink/framework/src/lang/zh-cn.php ( 13.70 KB )
  50. /yingpanguazai/ssd/ssd1/www/a.460.net.cn/vendor/topthink/framework/src/think/initializer/Error.php ( 3.31 KB )
  51. /yingpanguazai/ssd/ssd1/www/a.460.net.cn/vendor/topthink/framework/src/think/initializer/RegisterService.php ( 1.33 KB )
  52. /yingpanguazai/ssd/ssd1/www/a.460.net.cn/vendor/services.php ( 0.14 KB )
  53. /yingpanguazai/ssd/ssd1/www/a.460.net.cn/vendor/topthink/framework/src/think/service/PaginatorService.php ( 1.52 KB )
  54. /yingpanguazai/ssd/ssd1/www/a.460.net.cn/vendor/topthink/framework/src/think/service/ValidateService.php ( 0.99 KB )
  55. /yingpanguazai/ssd/ssd1/www/a.460.net.cn/vendor/topthink/framework/src/think/service/ModelService.php ( 2.04 KB )
  56. /yingpanguazai/ssd/ssd1/www/a.460.net.cn/vendor/topthink/think-trace/src/Service.php ( 0.77 KB )
  57. /yingpanguazai/ssd/ssd1/www/a.460.net.cn/vendor/topthink/framework/src/think/Middleware.php ( 6.72 KB )
  58. /yingpanguazai/ssd/ssd1/www/a.460.net.cn/vendor/topthink/framework/src/think/initializer/BootService.php ( 0.77 KB )
  59. /yingpanguazai/ssd/ssd1/www/a.460.net.cn/vendor/topthink/think-orm/src/Paginator.php ( 11.86 KB )
  60. /yingpanguazai/ssd/ssd1/www/a.460.net.cn/vendor/topthink/think-validate/src/Validate.php ( 63.20 KB )
  61. /yingpanguazai/ssd/ssd1/www/a.460.net.cn/vendor/topthink/think-orm/src/Model.php ( 23.55 KB )
  62. /yingpanguazai/ssd/ssd1/www/a.460.net.cn/vendor/topthink/think-orm/src/model/concern/Attribute.php ( 21.05 KB )
  63. /yingpanguazai/ssd/ssd1/www/a.460.net.cn/vendor/topthink/think-orm/src/model/concern/AutoWriteData.php ( 4.21 KB )
  64. /yingpanguazai/ssd/ssd1/www/a.460.net.cn/vendor/topthink/think-orm/src/model/concern/Conversion.php ( 6.44 KB )
  65. /yingpanguazai/ssd/ssd1/www/a.460.net.cn/vendor/topthink/think-orm/src/model/concern/DbConnect.php ( 5.16 KB )
  66. /yingpanguazai/ssd/ssd1/www/a.460.net.cn/vendor/topthink/think-orm/src/model/concern/ModelEvent.php ( 2.33 KB )
  67. /yingpanguazai/ssd/ssd1/www/a.460.net.cn/vendor/topthink/think-orm/src/model/concern/RelationShip.php ( 28.29 KB )
  68. /yingpanguazai/ssd/ssd1/www/a.460.net.cn/vendor/topthink/think-helper/src/contract/Arrayable.php ( 0.09 KB )
  69. /yingpanguazai/ssd/ssd1/www/a.460.net.cn/vendor/topthink/think-helper/src/contract/Jsonable.php ( 0.13 KB )
  70. /yingpanguazai/ssd/ssd1/www/a.460.net.cn/vendor/topthink/think-orm/src/model/contract/Modelable.php ( 0.09 KB )
  71. /yingpanguazai/ssd/ssd1/www/a.460.net.cn/vendor/topthink/framework/src/think/Db.php ( 2.88 KB )
  72. /yingpanguazai/ssd/ssd1/www/a.460.net.cn/vendor/topthink/think-orm/src/DbManager.php ( 8.52 KB )
  73. /yingpanguazai/ssd/ssd1/www/a.460.net.cn/vendor/topthink/framework/src/think/Log.php ( 6.28 KB )
  74. /yingpanguazai/ssd/ssd1/www/a.460.net.cn/vendor/topthink/framework/src/think/Manager.php ( 3.92 KB )
  75. /yingpanguazai/ssd/ssd1/www/a.460.net.cn/vendor/psr/log/src/LoggerTrait.php ( 2.69 KB )
  76. /yingpanguazai/ssd/ssd1/www/a.460.net.cn/vendor/psr/log/src/LoggerInterface.php ( 2.71 KB )
  77. /yingpanguazai/ssd/ssd1/www/a.460.net.cn/vendor/topthink/framework/src/think/Cache.php ( 4.92 KB )
  78. /yingpanguazai/ssd/ssd1/www/a.460.net.cn/vendor/psr/simple-cache/src/CacheInterface.php ( 4.71 KB )
  79. /yingpanguazai/ssd/ssd1/www/a.460.net.cn/vendor/topthink/think-helper/src/helper/Arr.php ( 16.63 KB )
  80. /yingpanguazai/ssd/ssd1/www/a.460.net.cn/vendor/topthink/framework/src/think/cache/driver/File.php ( 7.84 KB )
  81. /yingpanguazai/ssd/ssd1/www/a.460.net.cn/vendor/topthink/framework/src/think/cache/Driver.php ( 9.03 KB )
  82. /yingpanguazai/ssd/ssd1/www/a.460.net.cn/vendor/topthink/framework/src/think/contract/CacheHandlerInterface.php ( 1.99 KB )
  83. /yingpanguazai/ssd/ssd1/www/a.460.net.cn/app/Request.php ( 0.09 KB )
  84. /yingpanguazai/ssd/ssd1/www/a.460.net.cn/vendor/topthink/framework/src/think/Request.php ( 55.78 KB )
  85. /yingpanguazai/ssd/ssd1/www/a.460.net.cn/app/middleware.php ( 0.25 KB )
  86. /yingpanguazai/ssd/ssd1/www/a.460.net.cn/vendor/topthink/framework/src/think/Pipeline.php ( 2.61 KB )
  87. /yingpanguazai/ssd/ssd1/www/a.460.net.cn/vendor/topthink/think-trace/src/TraceDebug.php ( 3.40 KB )
  88. /yingpanguazai/ssd/ssd1/www/a.460.net.cn/vendor/topthink/framework/src/think/middleware/SessionInit.php ( 1.94 KB )
  89. /yingpanguazai/ssd/ssd1/www/a.460.net.cn/vendor/topthink/framework/src/think/Session.php ( 1.80 KB )
  90. /yingpanguazai/ssd/ssd1/www/a.460.net.cn/vendor/topthink/framework/src/think/session/driver/File.php ( 6.27 KB )
  91. /yingpanguazai/ssd/ssd1/www/a.460.net.cn/vendor/topthink/framework/src/think/contract/SessionHandlerInterface.php ( 0.87 KB )
  92. /yingpanguazai/ssd/ssd1/www/a.460.net.cn/vendor/topthink/framework/src/think/session/Store.php ( 7.12 KB )
  93. /yingpanguazai/ssd/ssd1/www/a.460.net.cn/vendor/topthink/framework/src/think/Route.php ( 23.73 KB )
  94. /yingpanguazai/ssd/ssd1/www/a.460.net.cn/vendor/topthink/framework/src/think/route/RuleName.php ( 5.75 KB )
  95. /yingpanguazai/ssd/ssd1/www/a.460.net.cn/vendor/topthink/framework/src/think/route/Domain.php ( 2.53 KB )
  96. /yingpanguazai/ssd/ssd1/www/a.460.net.cn/vendor/topthink/framework/src/think/route/RuleGroup.php ( 22.43 KB )
  97. /yingpanguazai/ssd/ssd1/www/a.460.net.cn/vendor/topthink/framework/src/think/route/Rule.php ( 26.95 KB )
  98. /yingpanguazai/ssd/ssd1/www/a.460.net.cn/vendor/topthink/framework/src/think/route/RuleItem.php ( 9.78 KB )
  99. /yingpanguazai/ssd/ssd1/www/a.460.net.cn/route/app.php ( 1.72 KB )
  100. /yingpanguazai/ssd/ssd1/www/a.460.net.cn/vendor/topthink/framework/src/think/facade/Route.php ( 4.70 KB )
  101. /yingpanguazai/ssd/ssd1/www/a.460.net.cn/vendor/topthink/framework/src/think/route/dispatch/Controller.php ( 4.74 KB )
  102. /yingpanguazai/ssd/ssd1/www/a.460.net.cn/vendor/topthink/framework/src/think/route/Dispatch.php ( 10.44 KB )
  103. /yingpanguazai/ssd/ssd1/www/a.460.net.cn/app/controller/Index.php ( 4.81 KB )
  104. /yingpanguazai/ssd/ssd1/www/a.460.net.cn/app/BaseController.php ( 2.05 KB )
  105. /yingpanguazai/ssd/ssd1/www/a.460.net.cn/vendor/topthink/think-orm/src/facade/Db.php ( 0.93 KB )
  106. /yingpanguazai/ssd/ssd1/www/a.460.net.cn/vendor/topthink/think-orm/src/db/connector/Mysql.php ( 5.44 KB )
  107. /yingpanguazai/ssd/ssd1/www/a.460.net.cn/vendor/topthink/think-orm/src/db/PDOConnection.php ( 52.47 KB )
  108. /yingpanguazai/ssd/ssd1/www/a.460.net.cn/vendor/topthink/think-orm/src/db/Connection.php ( 8.39 KB )
  109. /yingpanguazai/ssd/ssd1/www/a.460.net.cn/vendor/topthink/think-orm/src/db/ConnectionInterface.php ( 4.57 KB )
  110. /yingpanguazai/ssd/ssd1/www/a.460.net.cn/vendor/topthink/think-orm/src/db/builder/Mysql.php ( 16.58 KB )
  111. /yingpanguazai/ssd/ssd1/www/a.460.net.cn/vendor/topthink/think-orm/src/db/Builder.php ( 24.06 KB )
  112. /yingpanguazai/ssd/ssd1/www/a.460.net.cn/vendor/topthink/think-orm/src/db/BaseBuilder.php ( 27.50 KB )
  113. /yingpanguazai/ssd/ssd1/www/a.460.net.cn/vendor/topthink/think-orm/src/db/Query.php ( 15.71 KB )
  114. /yingpanguazai/ssd/ssd1/www/a.460.net.cn/vendor/topthink/think-orm/src/db/BaseQuery.php ( 45.13 KB )
  115. /yingpanguazai/ssd/ssd1/www/a.460.net.cn/vendor/topthink/think-orm/src/db/concern/TimeFieldQuery.php ( 7.43 KB )
  116. /yingpanguazai/ssd/ssd1/www/a.460.net.cn/vendor/topthink/think-orm/src/db/concern/AggregateQuery.php ( 3.26 KB )
  117. /yingpanguazai/ssd/ssd1/www/a.460.net.cn/vendor/topthink/think-orm/src/db/concern/ModelRelationQuery.php ( 20.07 KB )
  118. /yingpanguazai/ssd/ssd1/www/a.460.net.cn/vendor/topthink/think-orm/src/db/concern/ParamsBind.php ( 3.66 KB )
  119. /yingpanguazai/ssd/ssd1/www/a.460.net.cn/vendor/topthink/think-orm/src/db/concern/ResultOperation.php ( 7.01 KB )
  120. /yingpanguazai/ssd/ssd1/www/a.460.net.cn/vendor/topthink/think-orm/src/db/concern/WhereQuery.php ( 19.37 KB )
  121. /yingpanguazai/ssd/ssd1/www/a.460.net.cn/vendor/topthink/think-orm/src/db/concern/JoinAndViewQuery.php ( 7.11 KB )
  122. /yingpanguazai/ssd/ssd1/www/a.460.net.cn/vendor/topthink/think-orm/src/db/concern/TableFieldInfo.php ( 2.63 KB )
  123. /yingpanguazai/ssd/ssd1/www/a.460.net.cn/vendor/topthink/think-orm/src/db/concern/Transaction.php ( 2.77 KB )
  124. /yingpanguazai/ssd/ssd1/www/a.460.net.cn/vendor/topthink/framework/src/think/log/driver/File.php ( 5.96 KB )
  125. /yingpanguazai/ssd/ssd1/www/a.460.net.cn/vendor/topthink/framework/src/think/contract/LogHandlerInterface.php ( 0.86 KB )
  126. /yingpanguazai/ssd/ssd1/www/a.460.net.cn/vendor/topthink/framework/src/think/log/Channel.php ( 3.89 KB )
  127. /yingpanguazai/ssd/ssd1/www/a.460.net.cn/vendor/topthink/framework/src/think/event/LogRecord.php ( 1.02 KB )
  128. /yingpanguazai/ssd/ssd1/www/a.460.net.cn/vendor/topthink/think-helper/src/Collection.php ( 16.47 KB )
  129. /yingpanguazai/ssd/ssd1/www/a.460.net.cn/vendor/topthink/framework/src/think/facade/View.php ( 1.70 KB )
  130. /yingpanguazai/ssd/ssd1/www/a.460.net.cn/vendor/topthink/framework/src/think/View.php ( 4.39 KB )
  131. /yingpanguazai/ssd/ssd1/www/a.460.net.cn/vendor/topthink/framework/src/think/Response.php ( 8.81 KB )
  132. /yingpanguazai/ssd/ssd1/www/a.460.net.cn/vendor/topthink/framework/src/think/response/View.php ( 3.29 KB )
  133. /yingpanguazai/ssd/ssd1/www/a.460.net.cn/vendor/topthink/framework/src/think/Cookie.php ( 6.06 KB )
  134. /yingpanguazai/ssd/ssd1/www/a.460.net.cn/vendor/topthink/think-view/src/Think.php ( 8.38 KB )
  135. /yingpanguazai/ssd/ssd1/www/a.460.net.cn/vendor/topthink/framework/src/think/contract/TemplateHandlerInterface.php ( 1.60 KB )
  136. /yingpanguazai/ssd/ssd1/www/a.460.net.cn/vendor/topthink/think-template/src/Template.php ( 46.61 KB )
  137. /yingpanguazai/ssd/ssd1/www/a.460.net.cn/vendor/topthink/think-template/src/template/driver/File.php ( 2.41 KB )
  138. /yingpanguazai/ssd/ssd1/www/a.460.net.cn/vendor/topthink/think-template/src/template/contract/DriverInterface.php ( 0.86 KB )
  139. /yingpanguazai/ssd/ssd1/www/a.460.net.cn/runtime/temp/80ec142d437acc197a4b556a08c383fc.php ( 11.98 KB )
  140. /yingpanguazai/ssd/ssd1/www/a.460.net.cn/vendor/topthink/think-trace/src/Html.php ( 4.42 KB )
  1. CONNECT:[ UseTime:0.000625s ] mysql:host=127.0.0.1;port=3306;dbname=aa460;charset=utf8mb4
  2. SHOW FULL COLUMNS FROM `fenlei` [ RunTime:0.000944s ]
  3. SELECT * FROM `fenlei` WHERE `fid` = 0 [ RunTime:0.000323s ]
  4. SELECT * FROM `fenlei` WHERE `fid` = 63 [ RunTime:0.000279s ]
  5. SHOW FULL COLUMNS FROM `set` [ RunTime:0.000471s ]
  6. SELECT * FROM `set` [ RunTime:0.000192s ]
  7. SHOW FULL COLUMNS FROM `article` [ RunTime:0.000593s ]
  8. SELECT * FROM `article` WHERE `id` = 487233 LIMIT 1 [ RunTime:0.000560s ]
  9. UPDATE `article` SET `lasttime` = 1775495645 WHERE `id` = 487233 [ RunTime:0.003809s ]
  10. SELECT * FROM `fenlei` WHERE `id` = 64 LIMIT 1 [ RunTime:0.000228s ]
  11. SELECT * FROM `article` WHERE `id` < 487233 ORDER BY `id` DESC LIMIT 1 [ RunTime:0.000437s ]
  12. SELECT * FROM `article` WHERE `id` > 487233 ORDER BY `id` ASC LIMIT 1 [ RunTime:0.007923s ]
  13. SELECT * FROM `article` WHERE `id` < 487233 ORDER BY `id` DESC LIMIT 10 [ RunTime:0.002069s ]
  14. SELECT * FROM `article` WHERE `id` < 487233 ORDER BY `id` DESC LIMIT 10,10 [ RunTime:0.001173s ]
  15. SELECT * FROM `article` WHERE `id` < 487233 ORDER BY `id` DESC LIMIT 20,10 [ RunTime:0.010879s ]
0.097381s