

南昌大学重磅发布💣!南昌大学第二附属医院童艳团队联合多机构,于 2025 年 7 月在📘《International Journal of Surgery》发表肥胖与子宫内膜癌相关重磅成果。该研究整合 GBD 2021 数据与孟德尔随机化分析,纳入全球 204 国 30 年疾病负担数据及基因组学样本,锁定 BMI≥30 kg/m² 为核心风险因素。研究证实 I 级肥胖(BMI 30-34.9)使子宫内膜样癌风险升高 27%,且肥胖分级与该亚型呈剂量依赖关系,而与非子宫内膜样亚型无显著关联,同时预测 2036 年相关疾病负担将持续上升。该成果为细化癌症筛查阈值、制定区域化肥胖干预策略提供了关键依据,对降低高 SDI 地区及老年人群患病风险具有重要意义。
↓点击下方名片,后台咨询小先锋↓
文章用GBD、孟德尔随机化进行生信分析,思路清晰,如果你也想进行同款生信分析,欢迎联系生信先锋!小先锋每天分享高分文献,关注小先锋,每天解锁科研新思路!
▶整合 GBD 2021 数据与孟德尔随机化分析,建立肥胖与子宫内膜癌的因果关联,方法创新且严谨。
▶明确 I-III 级肥胖与子宫内膜样癌呈剂量依赖风险,为细化筛查阈值提供依据。
▶揭示高 SDI 地区、老年人群为高危群体,为靶向防控提供关键方向。

高 BMI 是子宫癌(90% 以上为子宫内膜癌)的重要风险因素,但肥胖分级与子宫内膜癌亚型的因果关系、剂量反应等证据不足,现有负担计算未区分超重与肥胖,需进一步验证和明确。
1.全球疾病负担数据分析
利用 GBD 2021 数据(1990-2021 年,204 国),通过线性回归算 EAPC,结合人口分解、前沿分析等,评估高 BMI 相关子宫癌负担及 2036 年趋势。
采用 GWAS 相关 SNP 作为工具变量,分肥胖等级(I-III 级)与子宫内膜癌亚型,经多变量调整、IVW 法及敏感性检验验证因果关系。
运用 Spearman 相关、BAPC 模型等分析 SDI 关联及年龄分层预测,通过异质性检验、留一法等确保结果稳健性,使用 R 软件完成数据分析。

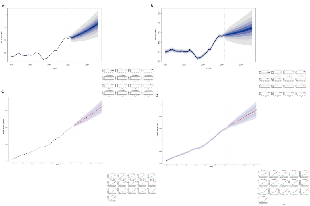
1990-2021 年,全球高 BMI 相关子宫癌负担持续上升,死亡数从 13893 例增至 33134 例,DALYs 从 37.26 万增至 88.01 万,ASMR 和 ASDR 也呈稳步上升趋势。疾病负担存在显著地域差异,高 SDI 地区负担最重,北美高收入地区死亡数和 DALYs 总量最高,东欧年龄标准化率领先,南亚增长最为迅猛(EAPC 达 2.58%-2.62%),而中亚则出现下降(图 1)。多数国家负担上升,科威特增幅最显著,2021 年美、中、俄等国 DALYs 和死亡数居前,阿联酋年龄标准化率全球最高,爱沙尼亚等部分高收入国家则呈下降趋势(图 1)。SDI 与 ASDR、ASMR 呈显著正相关,不同地区实际负担与理论水平存在差距,高 SDI 国家效率缺口更大(图 2)。人口增长和老龄化是全球负担上升的主要驱动因素,60-74 岁人群死亡数和 DALYs 最多,≥90 岁人群年龄别死亡率最高(图 3)。

图1 1990年至2021年,204个国家和地区的全球子宫癌负荷,因BMI高所致


图2 1990–2021年高BMI导致子宫癌负担的社会人口分层

图3 2021年按年龄划分的子宫癌因高BMI导致的DALYs(A)和死亡(B)的年龄特定数字和发生率
基于 BAPC 模型预测,2021-2036 年全球高 BMI 相关子宫癌负担将持续上升,所有年龄组的死亡率、DALYs、ASMR 及 ASDR 均呈增长趋势(图 4)。到 2036 年,全球 ASDR 预计达 32.63(95% CI:30.18–35.00),ASMR 为 1.18(95% CI:1.07–1.28)。年龄分层显示,20-24 岁人群负担极低,而 95 岁及以上人群死亡率最高(10.41,95% CI:9.38–11.45),70-74 岁年龄组 DALY 率最高(106.82,95% CI:97.79–115.87),年龄相关负担差异显著(图 4)。

图4 呈现BAPC模型导出的高BMI可归因结肠炎负重指标(DALY病例、死亡率、ASDR、ASMR)全球流行病学轨迹,并结合2022–2036年年龄分层预测
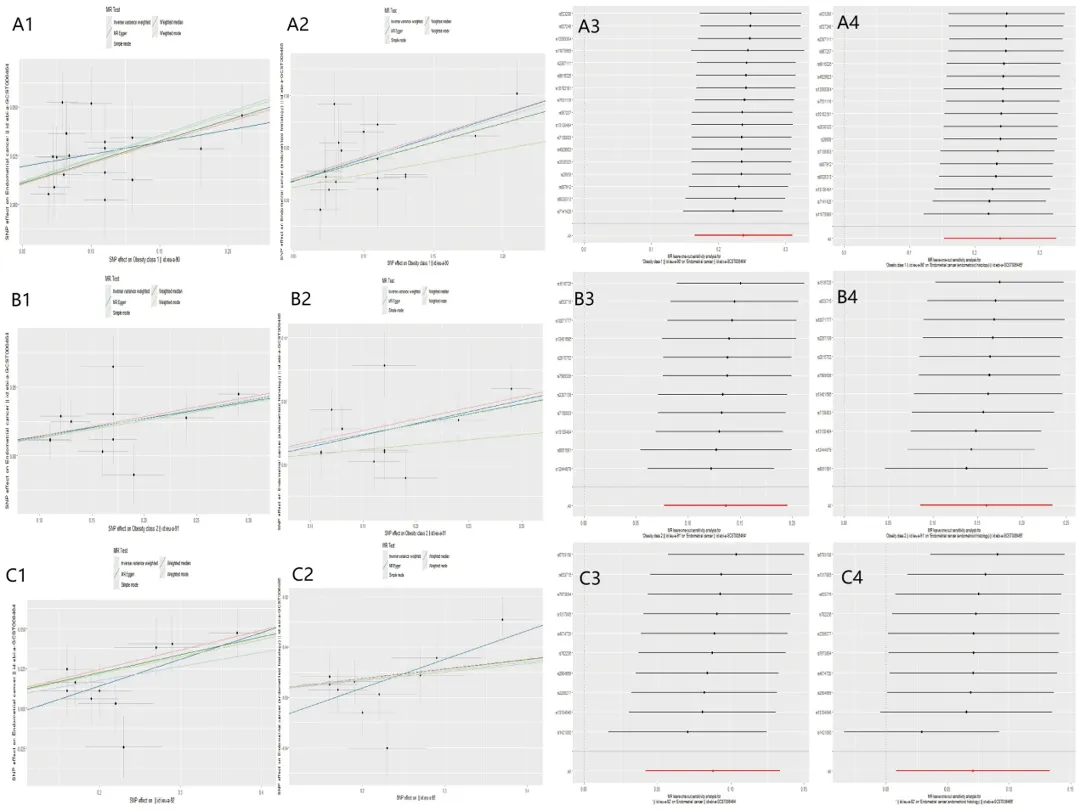
经多变量调整的孟德尔随机化分析显示,肥胖与子宫内膜癌亚型存在显著关联性且呈剂量依赖关系(图 5)。I 级肥胖(BMI 30-34.9 kg/m²)使子宫内膜癌及子宫内膜样亚型风险均升高 27%(OR 均为 1.27,P<0.001),该风险阈值低于当前常规筛查标准。II 级肥胖(BMI 35-39.9 kg/m²)同样显著增加两类癌症风险(OR 分别为 1.15、1.17,P<0.001),III 级肥胖(BMI≥40 kg/m²)的风险提升幅度稍小但仍具统计学意义(OR 分别为 1.09、1.07,P<0.001)。
值得注意的是,肥胖与非子宫内膜样亚型无显著关联(I-III 级肥胖 OR 分别为 1.19、1.02、1.06,P 均 > 0.05)。经 IVW 法、异质性检验、留一法等敏感性分析验证,上述结果稳健可靠,无明显偏倚(图 6)。这一关联独立于糖尿病、吸烟、饮酒等混杂因素,为子宫内膜癌亚型特异性防控提供了关键依据。

图5 前瞻性MR分析中,肥胖1、2、3类及不同亚型子宫内膜癌合并的手术室结果森林图

图6 孟德尔随机化(MR)估计肥胖类别对子宫内膜癌亚型的因果关系
研究结合 GBD 2021 数据与孟德尔随机化分析,证实高 BMI 是子宫癌(尤其子宫内膜样癌)的可改变病因,呈剂量依赖关系。该病负担在高 SDI 地区、老年人群更重,2036 年将持续上升,需针对性肥胖干预与筛查优化。
生信先锋专注生信分析,如果你也想用GBD、孟德尔随机化进行研究,需要生信分析,复刻高分思路,那就快后台联系小先锋吧~生信先锋,助力科研梦,相信下一篇顶刊就是你!





