投稿邮箱:wedotech2025@163.com投稿电话:16622153402(微信同号)



铁电材料因具有可被外电场调控且断电后仍能保持的极化状态,在非易失存储、存内计算等领域备受关注。然而,传统铁电材料(如钙钛矿氧化物)在极化翻转过程中常伴随离子缺陷迁移,导致存储窗口受限、抗疲劳性能差,且界面死层效应阻碍器件微缩。近年来兴起的二维滑动铁电材料提供了一种全新机制:极化来源于层间滑移引起的结构不对称性,而非传统离子位移。这种机制具有更低的翻转势垒和更高的疲劳耐受性,同时原子级厚度和洁净的范德华界面为构建高性能铁电存储器带来了独特机遇。γ-InSe作为一种典型的III-VI族层状半导体,其菱形堆垛结构天然具备滑动铁电性,为开发下一代高密度、低功耗、抗疲劳的非易失存储技术提供了理想平台。
南昌大学周杨波教授团队展示了γ-InSe在室温下的滑动铁电性,并制备了基于二维滑动铁电体的场效应晶体管,实现了6.8 V的存储窗口、超过10^4倍的电导调制、长达10年的保持时间以及超过10^3次翻转周期的耐久性。器件的理想因子(α)高达0.97,接近理论极限。此外,基于4.8 nm超薄γ-InSe层构建的铁电隧道结可在高阻态和低阻态间可逆切换,室温下隧穿电致电阻(TER)比达到~10^5。高阻态电阻随温度降低而减小,低温下TER比超过10^6,表明在正极化下直接隧穿之外还存在热激活隧穿机制。这些发现凸显了滑动铁电体作为下一代可重写、抗疲劳非易失存储技术的潜力。该文章以“Non-volatile Sliding Ferroelectric Memory Effect in Ultrathin γ-InSe”为题发表在国际著名期刊Advanced Electronic Materials上。
图1-γ-InSe的滑动铁电性表征:图1全面展示了γ-InSe的晶体结构、振动特性、非线性光学响应以及铁电性。图1a呈现了γ-InSe的晶格结构:每个四层(QL)由Se-In-In-Se原子序列构成,层间沿扶手椅方向相对滑移三分之一晶格常数,三个QL形成ABC型菱形堆垛,这种堆垛方式破坏了层间反演对称性,导致层间电荷转移,产生面外铁电极化。图1b的拉曼光谱在532 nm激光激发下显示出116 cm⁻¹(A¹1g)、178 cm⁻¹(E²1g)和228 cm⁻¹(A²1g)三个特征峰,与γ-InSe的拉曼指纹完全吻合,结合XRD图谱(补充材料)排除β和ε相,确认样品为纯γ相。图1c的角度分辨拉曼光谱揭示了晶体的强各向异性:A²1g模强度在0°和180°(扶手椅方向)出现极大值,在90°和270°(锯齿形方向)出现极小值,各向异性比η达13.33,印证了γ-InSe的低对称性结构。图1d的二次谐波(SHG)信号随激发功率呈二次方增长(双对数斜率1.92),且偏振依赖图呈现六重对称性(补充材料),证实晶体非中心对称结构。图1e的压电力显微镜(PFM)单点测量显示,相位响应呈现典型的180°滞回环,振幅响应呈蝴蝶形曲线,直接证明室温铁电性,矫顽场(E_c)约0.15 V/nm,远低于传统铁电体。图1f的“盒中盒”铁电畴写入实验进一步验证了极化可控性:±8 V电压写入的区域在PFM相位和振幅图中清晰可辨。这些表征共同确立了γ-InSe作为滑动铁电体的核心特征,为后续器件研究奠定了基础。
图2-基于γ-InSe的大存储窗口滑动铁电场效应晶体管:图2展示了以γ-InSe为铁电栅介质的场效应晶体管(FeFET)的优异电学性能。图2a为器件结构示意图:少层γ-InSe作为顶栅铁电介质,下方为沟道材料(本研究中为同一γ-InSe薄片),源/漏电极为Ti/Ni。图2b是在固定源漏电压1 V下测量的转移特性曲线(I_ds-V_tg),随着顶栅扫描范围从±4 V扩大至±10 V,滞回窗口逐渐增大。图2c提取了对应的开关比,在±10 V扫描下开关比超过10^4。图2d显示了存储窗口(MW)随栅压变化的规律,在±6 V扫描范围内MW达6.8 V,这一数值远大于传统铁电栅控晶体管。根据矫顽场(14 nm厚度γ-InSe的E_c≈0.25 V/nm)估算的理想因子α高达0.97,接近理论极限1,表明极化翻转非常理想,畴壁钉扎和缺陷捕获效应极小。图2e展示了器件的耐久性:在±6 V、1 μs双极脉冲反复翻转1000次后,开关电流比保持稳定,转移特性曲线几乎重合,证实滑动铁电体卓越的抗疲劳特性。图2f为保持特性:写入±6 V脉冲后,在1 V偏压下连续监测沟道电流,100秒后开态电流仅轻微衰减,关态几乎不变,指数拟合表明两个电流状态在10^8秒(约10年)后仍可区分,满足非易失存储要求。作者还通过真空测试、变扫速对比和hBN栅控对照实验,排除了电荷捕获、静电吸附等非铁电因素,确认滞回源于本征铁电极化翻转。这些结果充分证明γ-InSe滑动铁电体在FeFET中的巨大潜力。

图3-基于少层γ-InSe的高TER比铁电隧道结:图3展示了基于γ-InSe的铁电隧道结(FTJ)的器件结构与电学性能。图3a为器件示意图:采用不对称电极结构,底部为少层石墨烯,顶部为钛(Ti)电极,中间为4.8 nm厚的γ-InSe隧穿层。这种不对称设计利用石墨烯的低载流子密度和极化翻转对石墨烯费米能级的显著调控,实现隧穿电阻的大幅调制。图3b为光学显微镜图像,绿色轮廓为γ-InSe,蓝色为石墨烯,插图的原子力显微镜(AFM)高度剖面确认γ-InSe厚度约4.8 nm。图3c展示了在±2 V极化脉冲后的输出特性曲线:施加-2 V脉冲后,器件处于低阻态(LRS);施加+2 V脉冲后,切换至高阻态(HRS),在±0.1 V读取电压下TER比达10^4。图3d将读取电压扩展至±2 V,正向和反向扫描呈现明显的滞回特性,箭头指示扫描方向,多次测量后性能稳定。图3e和3f分别对应LRS和HRS的能带示意图:-2 V极化使偶极子向下,在底部石墨烯中诱导大量电子,提高其费米能级,降低隧穿势垒,形成LRS;+2 V极化使偶极子向上,耗尽石墨烯电子,降低费米能级,增加势垒,形成HRS。补充材料中采用Ni和TiS₂作为电极的对照实验显示,TER比明显减小,归因于Ni与γ-InSe功函数相近以及TiS₂较长的屏蔽长度。这表明FTJ性能优化需综合考虑电极功函数、屏蔽长度和载流子密度。这些结果确立了γ-InSe滑动铁电体在FTJ中的优越性,为实现高密度、低功耗存储提供了新途径。

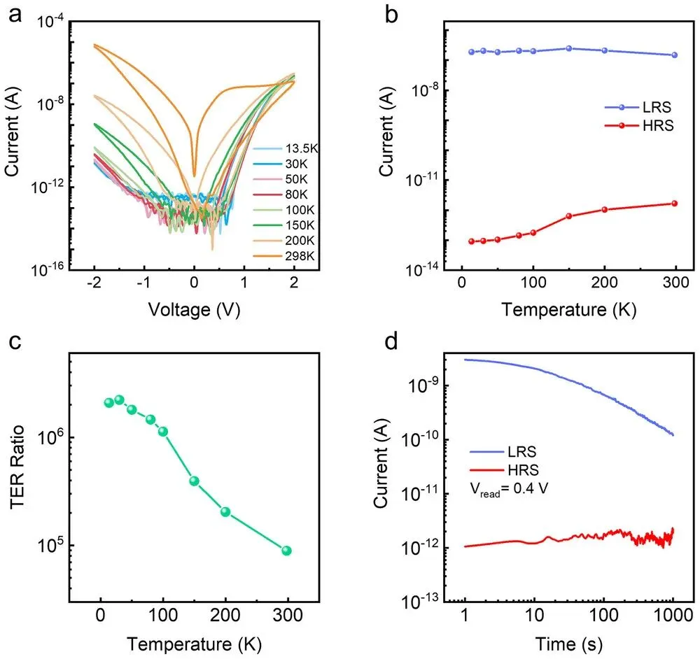
图4-Ti/γ-InSe/石墨烯FTJ的温度依赖性隧穿电致电阻:图4系统研究了Ti/γ-InSe/石墨烯FTJ从13.5 K到室温的隧穿电致电阻行为。图4a展示了不同温度下的I-V特性曲线,随温度降低,滞回环的矫顽场增大,这符合铁电体的一般规律。图4b提取了+0.5 V读取电压下的隧穿电流随温度变化:低阻态(LRS)电流在整个温度范围内几乎不变,这是因为LRS以直接隧穿为主导,该过程对温度不敏感;高阻态(HRS)电流随温度从290 K降至50 K而逐渐减小,50 K以下趋于稳定,表明HRS中存在热激活的隧穿贡献。图4c为TER比(定义为(J_LRS - J_HRS)/J_HRS × 100%)随温度变化曲线:TER比随温度降低而单调增加,低温下超过10^6,远高于室温的~10^5。这一现象可解释为:低温抑制了与声子相关的非弹性隧穿(即声子辅助间接隧穿),使得极化依赖的直接隧穿占主导,从而大幅提升TER比。类似的温度行为在Pt/BaTiO₃/SrRuO₃体系中也曾报道,归因于通过势垒内局域态链的电子跳跃,该过程伴随声子发射或吸收,具有显著温度依赖性且对极化反转不敏感。图4d为室温下的保持特性:±2 V脉冲写入后,在0.1 V读取电压下监测LRS和HRS电流,10^4秒后两状态仍清晰可辨,表明器件具有良好的数据保持能力。这些温度依赖测量不仅揭示了γ-InSe FTJ的隧穿机制,也证实了其在宽温区工作的可靠性,为实际应用提供了重要依据。
【文献总结】
该研究首次系统展示了γ-InSe滑动铁电体在两种典型非易失存储器件——铁电场效应晶体管(FeFET)和铁电隧道结(FTJ)中的卓越性能。从材料机制层面,通过拉曼光谱、XRD、SHG和PFM等多维度表征,确认了γ-InSe的菱形堆垛结构及其室温滑动铁电性,矫顽场厚度依赖符合Janovec-Kay-Dunn模型,证明极化翻转遵循畴壁运动和形核生长机制,且缺陷钉扎效应极弱。从器件性能层面,FeFET实现了6.8 V的超大存储窗口、超过10^4倍的沟道电导调制、长达10年的理论保持时间和1000次以上的稳定翻转,理想因子高达0.97,创下同类器件纪录;FTJ在4.8 nm超薄隧穿层中实现了室温下10^5、低温下超过10^6的隧穿电致电阻比,并通过温度依赖测量揭示了LRS以直接隧穿为主、HRS存在热激活隧穿的物理机制。从技术意义层面,滑动铁电体凭借其层间滑移翻转机制,从根本上避免了传统离子型铁电体的缺陷迁移和疲劳问题,同时原子级厚度和洁净范德华界面为器件微缩和异质集成提供了天然优势。本研究不仅将滑动铁电体的应用从基础物理探索拓展至高性能存储器件,也为未来开发抗疲劳、可重写、高密度、低功耗的非易失存储技术奠定了坚实基础。下一步,通过优化电极材料、界面工程和器件结构,有望进一步提升存储密度和能效,推动滑动铁电器件向实用化迈进。
文章信息:Yue Li, Luoyang Ding, Zhixiong Li, et al. Non-volatile Sliding Ferroelectric Memory Effect in Ultrathin γ-InSe
https://doi.org/10.1002/aelm.70313


