
图3.1990年至2021年美国按性别划分的特定癌症年龄标准化DALY率(每10万人/年)的时间趋势
2021 年美国各州展示了多种癌症的年龄标准化率,1990—2021 年美国肿瘤总病例数大幅上升,仅两类癌种例外,肝癌增长最明显,各州趋势与全国一致,“癌症带” 负担更高(图4)。

图4.2021年美国各州按男女合计划分的特定癌症年龄标准化DALY率
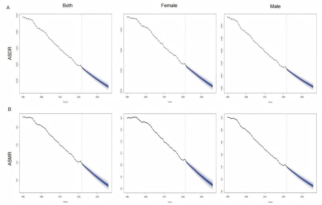
四、美国肿瘤负担趋势的分解分析与预测(2022-2036)
2022—2036 年美国肿瘤年龄标准化死亡率和伤残调整生命年率均呈下降趋势,但性别差异持续存在,男性死亡率降幅更大但水平仍高于女性,其伤残负担降幅则慢于女性(图5)。
图5.使用BAPC模型预测的2022年至2036年美国按性别划分的肿瘤ASDR和ASMR趋势