点击上面蓝色文字关注杨志明数学角
近三十七年(1986- 2022)IMO中国国家集训队选拔考试试题及参考答案集锦
近21届(2002-2022)中国女子数学奥林匹克试题及解答
近十九年(2001-2019)中国西部数学邀请赛试题及解答集锦
近十四届(2005-2018年)中国北方数学奥林匹克试题及解答集锦
近十七年(2004-2020)中国东南地区数学奥林匹克试题及解答集锦
近十五年(2008-2022)全国高中数学联赛贵州省预赛试题及参考答案
近二十一年(2003-2023 )全国高中数学联赛(福建省赛区)预赛试卷集锦
近十九年(2004-2022)全国高中数学联赛吉林赛区预赛试题与详细解答集锦
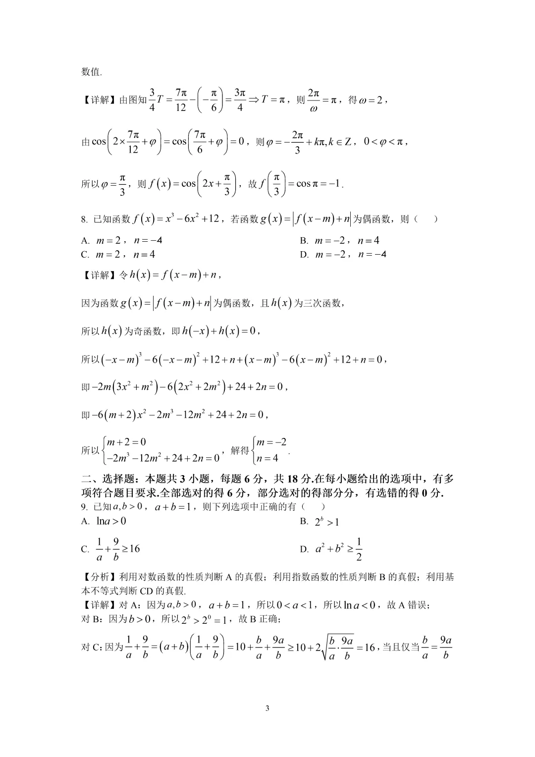
近五年(2018-2022)全国高中数学联赛重庆赛区预赛试题与详细解答集锦
近十八年(2005-2022)全国高中数学联赛江西省预赛试题解答
2004-2018年南昌市高中数学竞赛试卷及答案
近十五年(2005-2019)年全国高中数学联合竞赛浙江省预赛试卷及详细解答
近十五年(2005-2019)全国高中数学联赛江苏赛区初赛、复赛试题及详细解答
近十五年(2004-2018)全国高中数学联赛河南预赛试题及答案集锦
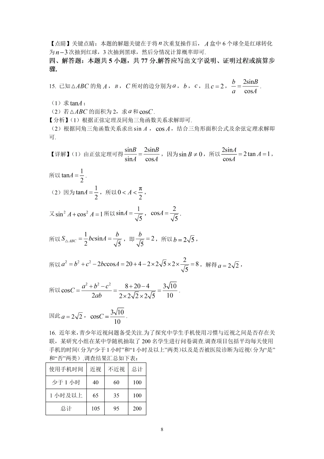
近十九年(2002-2020)全国高中数学联赛(四川预赛)试题及答案集锦
近二十年(2000-2019)全国高中数学联赛(湖南预赛)试题及答案集锦
2010-2018年全国高中数学联合竞赛广东赛区选拔赛试题详细解答集锦















试题来源于网络,只为传播优秀的试题,若侵权,请联系删除!
教育部命题四省(安徽、云南、吉林、黑龙江)联考数学试卷(20230223)及解答
2026年上海市春季招生统一文化考试(春季高考)数学试卷(回忆版)
【优质试题】湖南雅礼中学2026届高三模拟预测数学试题及答案
【优质试题】山东青岛市2026届高三第一次适应性检测数学试题及解答
【优质试题】2026届苏锡常镇高三教学情况调研(一)数学试题及参考答案
【优质试题】湖南师大附中2026届高三下学期开学考试数学试卷+答案
【优质试题】重庆市名校联盟2026届高三下学期第一次联考数学含解析
【优质试题】Z20名校联盟(浙江省名校新高考研究联盟)2026届高三第二次联考数学试题及解答
【优质试题】四川成都市第七中学2026届高三下学期二诊模拟考试数学试卷及解答
【优质试题】湖南新高考教学教研联盟2026届高三下学期3月第一次(二模)联考数学试题及解答
【优质试题】湖南新高考教学教研联盟2026届高三下学期3月第一次(二模)联考数学试题及解答
【优质试题】2025-2026学年福州市高三年级三月质量检测试题及参考答案
【优质试题】湖南师大附中2026届高三2月月考试卷(七)数学(含答案)
【优质试题】山东省名校考试联盟2026届高三下学期2月份核心素养评估数学试题及解析
【优质试题】安徽A10联盟2026届高三下学期2月开学学情检测数学试题及解答
【优质试题】Z20 名校联盟(浙江省名校新高考研究联盟)2026 届高三第二次联考数学试题及解答
【优质试题】2026年“神算杯”第一次模拟测试(B)试题卷及解答
【优质试题】浙江省温州市2026届高三上学期期末质量评价数学试题及解答
【优质试题】浙江省金华市十校2026届高三上学期1月期末数学试题及解答
【优质试题】广东省潮州市2026届高三上学期期末教学质量检测数学试题及解答
【优质试题】山东泰安2026届高三上学期期末考试数学试题及答案
【优质试题】2026届福建省泉州市高中毕业班质量检测(二)数学试题 逐题解析版
【优质试题】2025~2026 学年佛山市普通高中教学质量检测(一)高三数学试题及解答
【优质试题】河南青桐鸣大联考2026届高三上学期1月质检数学试题及答案
【优质试题】广东省惠州市2026届高三上学期第二次调研考试数学试题及解答
【优质试题】湖北省随州市2025-2026学年高三上学期1月期末质量检测数学试题及解答