当前位置:首页>南昌>南昌航空大学|物理信息神经网络在合金固液相变潜热传热中的应用

南昌航空大学|物理信息神经网络在合金固液相变潜热传热中的应用

  • 2026-03-27 11:42:22
南昌航空大学|物理信息神经网络在合金固液相变潜热传热中的应用

这篇论文值不值得读?

标题与一句话定位

本文开发了一种物理信息神经网络(PINN),用于预测合金在包含潜热的固液相变过程中的时空温度场演化。

速览摘要

  • 问题:在研究合金铸造等固液相变传热行为时,潜热是一个不可忽视的核心因素,而传统数值模拟方法通常需要复杂的网格划分和收敛算法。
  • 方法:建立了一个考虑潜热的PINN模型,为了满足使用实际尺度热物性参数进行训练的要求,对控制方程进行了严格的无量纲化处理,并结合Adam与L-BFGS优化器进行训练。
  • 结果:PINN模型能够良好地描述带有潜热的传热行为;在固液糊状区,潜热是导致PINN与有限元法(FEM)温度偏差的主要因素,且该偏差不会在时空中传播;凝固和融化过程中的最大局部偏差分别为 和 
  • 意义:定量评估了PINN模型解决具有潜热和实际热物性参数传热问题的能力,为无网格方法在材料成型热物理场预测中的应用提供了参考。

为什么要读这篇论文

在合金铸造等制造过程中,准确预测固液相变时的温度场对于控制缩孔、变形等铸造缺陷至关重要。传统的数值方法依赖于复杂的网格划分,而PINN作为一种无网格深度学习方法,展现了高效求解偏微分方程的潜力。然而,真实物理场景下的热物性参数跨度极大,且潜热会导致方程高度非线性,这给神经网络的训练带来了严峻挑战。本文通过对方程进行无量纲化,成功将PINN应用于具有潜热的合金固液相变问题,并对其与FEM之间的误差分布进行了详实的定量分析,为AI在工程热物理中的落地提供了有价值的实践框架。

作者到底做了什么?

问题是什么?要解决的痛点在哪?

合金在熔化和凝固过程中伴随着潜热的吸收和释放。在以往将PINN应用于传热问题的研究中,通常未考虑固液相变过程中的潜热,或者未使用真实的物理参数。直接使用真实的物理参数和温度值进行网络训练,往往会导致严重的梯度消失甚至训练失败,并且不同组的物理参数会导致不同的收敛特性。因此,如何使PINN模型克服潜热带来的强非线性,并适应真实尺度下的物理参数,是本文致力于解决的痛点。

方法框架与核心创新点

为了准确描述合金固液相变过程中的传热与潜热释放,研究基于傅里叶定律构建了非定常传热偏微分方程:

其中 为潜热,为比热容,为固相分数。为将该物理约束有效嵌入PINN,模型的总损失函数被定义为偏微分方程残差、边界条件残差和初始条件残差的加权和。为克服复杂物理场带来的训练挑战,作者提出了以下三大核心创新:

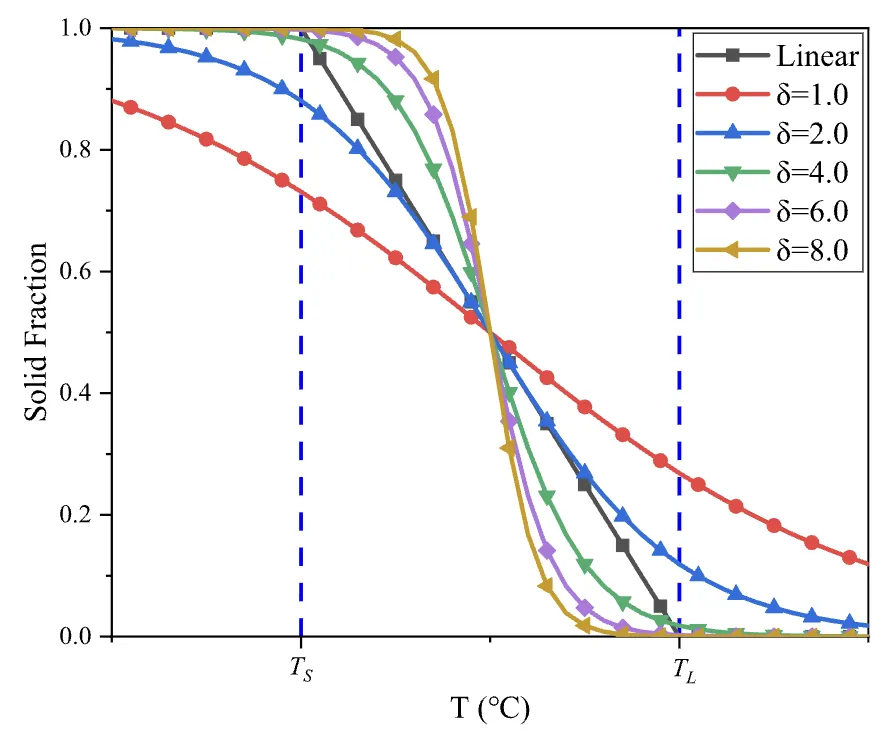
  • 平滑化固相分数函数:为解决相变区间边界处导数不连续导致的计算不稳定问题,引入平滑参数 对固相分数进行了正则化处理:从而保证了 在液相线温度 和固相线温度 处的连续性。
  • 方程无量纲化处理:直接使用真实物理参数会引发严重的梯度消失。作者通过无量纲变换(如 ),对包含潜热的传热方程及定解条件进行了全面转换,确保数据分布适合神经网络训练。
  • 复合优化与自适应激活:在网络中引入自适应激活函数 ,并结合Adam(早期全局搜索以逃离鞍点)与L-BFGS(后期高精度二阶求解)的复合优化策略,有效抑制了多项损失函数的振荡,显著提升了求解精度。

关键实验与证据

本研究以航空航天领域常用的高强铸造铝合金 AlCu4MgSi 为研究对象,构建了一个 的二维计算域,详细评估了 PINN 模型在凝固和熔化两种相变场景下的表现。模型输入为空间坐标与时间,输出为预测温度,网络架构采用包含 6 个隐藏层的深度全连接网络。

表 1|AlCu4MgSi的热物性参数

该表列出了模拟所用高强铸造铝合金 AlCu4MgSi 的固液相线温度、密度、比热容、热导率及潜热等关键真实物理参数。

图 1|不同 值下的固相分数 展示了通过引入平滑参数 正则化后的固相分数随温度变化的曲线,以确保在液相线和固相线处的导数连续性。

图 2|PINN模型架构展示了包含输入层、多个全连接隐藏层和输出层的标准深度神经网络结构,用于逼近包含空间和时间坐标的温度场。

1. 无潜热条件下的基准验证在正式引入潜热前,作者首先验证了复合训练策略的有效性。实验结果表明,同时应用 Adam、L-BFGS 优化器和自适应激活函数时,总损失降至极低水平。与有限元法(FEM)相比,该策略将模型在凝固过程中的最大温度误差从 大幅缩小至 以内,证明了优化策略对提升模型精度的关键作用。

图 3|训练方法对损失的影响对比了单独使用 Adam、Adam+自适应激活、Adam+L-BFGS 以及三者结合时的损失函数收敛曲线,证明复合策略能得到最低的总损失。

图 4|无潜热时的温度曲线及PINN与FEM结果之间的误差记录了不同训练策略下中心点温度随时间的变化,证实复合优化策略可将最大温度误差降至 

图 5|无潜热凝固过程中PINN与FEM模拟的温度场及其绝对误差分布展示了 时的二维温度场云图,无潜热情况下PINN与FEM的预测结果几乎完全一致,绝对误差小于 

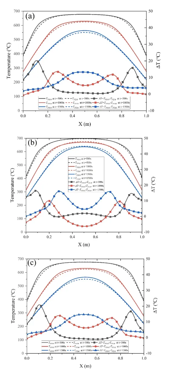
2. 含潜热的合金凝固过程传热分析当引入 的真实潜热后,传热方程的非线性显著增强。PINN 模型在经过 5000 个 Epoch 的 Adam 训练并切换至 L-BFGS 后,损失函数迅速下降并趋于稳定。与 FEM 模拟的对比显示,PINN 能够准确捕捉固液相变界面的演化规律。值得注意的是,模型的主要误差集中在发生剧烈相变的固液糊状区(中心最大偏差约 ),但这一误差并未在时间或空间上向周围的单相区(纯固相或纯液相)扩散,体现了 PINN 在误差传播机制上的独特优势。

图 6|潜热为389KJ的凝固情况下PINN模型训练过程中的损失记录了引入真实潜热后,各项损失在经过 5000 次 Adam 迭代后切换至 L-BFGS 时出现的迅速下降和收敛。

图 7|潜热为389KJ的凝固过程中PINN与FEM模拟的温度场及其绝对误差分布显示在潜热存在时,PINN依然能准确刻画不同时刻的温度场形态,误差主要局限在发生相变的固液糊状区。

图 8|潜热为389KJ的凝固过程中PINN与FEM模拟的固相分数分布及其绝对误差分布直观展示了凝固界面的推进过程,证明 PINN 能较好地捕捉固相分数的时空演化。

图 9|潜热为389KJ的凝固过程中不同位置的温度曲线及PINN与FEM结果之间的误差追踪了不同空间点的温度变化,揭示了潜热释放导致降温曲线出现平台期,以及误差在相变阶段急剧增加的现象。

图 10|潜热为389KJ的凝固过程中沿 和 线的温度和误差分布通过切线分布图进一步验证了固液糊状区的最大误差约为 ,且不会向单相区发生显著扩散。

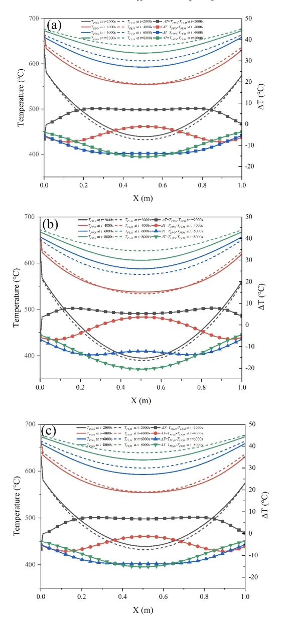
3. 含潜热的合金熔化过程传热分析在环境温度设定为 的熔化场景下,合金由表及里逐渐熔化,形成了比凝固过程更宽的固液糊状区。尽管 PINN 模型预测的相变进度略微滞后于 FEM 结果(中心位置最大负偏差达 ),但在熔化前和熔化后的单相区内,温度偏差迅速收敛至 甚至 以内。这进一步印证了 PINN 能够可靠地描述包含潜热的复杂相变吸热过程。

图 11|潜热为389KJ的熔化情况下PINN模型训练过程中的损失记录了熔化场景下模型的训练收敛过程,表明不同传热过程对 PINN 训练特性有一定影响。

图 12|潜热为389KJ的熔化过程中PINN与FEM模拟的温度场及其绝对误差分布展示了合金由表及里逐渐熔化的温度演化,以及相比凝固过程更宽的固液糊状区特征。

图 13|潜热为389KJ的熔化过程中PINN与FEM模拟的固相分数及其绝对误差分布描绘了液相分数随时间的扩展情况,反映出 PINN 预测的相变进度略微滞后于有限元模拟。

图 14|潜热为389KJ的熔化过程中不同位置的温度曲线及PINN与FEM结果之间的误差表明在熔化的相变平台期误差达到峰值,但在完全熔化后误差迅速回落。

图 15|潜热为389KJ的熔化过程中沿 和 线的温度和误差分布揭示了熔化进程中空间各点的误差演化规律,再次印证了误差的时空局域性。

4. 潜热大小对模型精度的影响规律为明确误差的根本来源,作者设计了潜热值从 0 递增至 的对比实验。实验清晰地揭示了一个规律:随着潜热值的增大,偏微分方程的物理约束学习难度急剧上升(PDE 损失相应增加),进而导致糊状区内的最大温度偏差呈现正相关的放大趋势。这一发现明确了高非线性潜热项是限制当前 PINN 局部精度的主要瓶颈。

图 16|不同潜热值的凝固过程中PINN模型训练的损失对比了 0 到 500 KJ 不同潜热值下的收敛情况,明确指出潜热的增加会显著提升偏微分方程损失(PDE loss)。

图 17|不同潜热值的凝固过程中的温度曲线及PINN与FEM结果之间的误差显示潜热值越大,相变持续时间越长,引起的糊状区局部预测误差也随之成比例放大。

结论与价值判断

研究证实,经过无量纲化处理的PINN模型能够有效求解包含实际物理参数和潜热的合金相变传热问题。论文揭示了一个关键特性:与传统离散数值方法由于历史时间步带来的误差累积不同,PINN是一次性逼近偏微分方程的解析解,因此固液糊状区产生的温度偏差不会随着时间和空间向单相区扩散。尽管目前潜热项增强了方程的非线性,导致相变区存在最大约 的偏差,但在单相区的误差极小(通常在 以内),整体结果表明PINN在热物理场预测方面具有很高的应用潜力。

L3: 这篇论文意味着什么?

局限性与不足

  • 该研究将问题简化为纯热传导主导,忽略了由液相温度梯度引起的浮力驱动流动,以及因固液密度差导致的凝固收缩流动。
  • 模型中将所有热物性参数均视为常数,未考虑它们随温度的动态变化。
  • 引入潜热项降低了PINN模型学习偏微分方程物理约束的能力,导致潜热值越大,固液糊状区的误差越明显。

启示与讨论

将实际工程问题中的偏微分方程进行无量纲化,是物理信息机器学习走向落地的关键一步。本文不仅提供了一种处理真实材料参数跨度的标准范式,更揭示了PINN在误差传播机制上与传统数值方法的本质区别。PINN误差在时空上不扩散的特性,使其在进行长时间跨度、大空间尺度的物理场演化预测时具有潜在的稳定性优势。未来,若能结合自适应采样策略或改进针对高非线性区域的损失权重机制,有望进一步降低相变糊状区的局部误差,从而使PINN更好地服务于工业制造领域的数字孪生。

一句话总结

通过严谨的无量纲化处理和复合优化策略,物理信息神经网络(PINN)成功实现了对带有真实潜热的合金固液相变传热过程的可靠预测,且展现出局部误差不随时间和空间扩散的优异特性。

最新文章

随机文章

基本 文件 流程 错误 SQL 调试
  1. 请求信息 : 2026-03-31 04:32:57 HTTP/2.0 GET : https://a.460.net.cn/a/490512.html
  2. 运行时间 : 0.217571s [ 吞吐率:4.60req/s ] 内存消耗:4,318.68kb 文件加载:140
  3. 缓存信息 : 0 reads,0 writes
  4. 会话信息 : SESSION_ID=2a24f710e3ec9e0a0e0fd045cfa7c384
  1. /yingpanguazai/ssd/ssd1/www/a.460.net.cn/public/index.php ( 0.79 KB )
  2. /yingpanguazai/ssd/ssd1/www/a.460.net.cn/vendor/autoload.php ( 0.17 KB )
  3. /yingpanguazai/ssd/ssd1/www/a.460.net.cn/vendor/composer/autoload_real.php ( 2.49 KB )
  4. /yingpanguazai/ssd/ssd1/www/a.460.net.cn/vendor/composer/platform_check.php ( 0.90 KB )
  5. /yingpanguazai/ssd/ssd1/www/a.460.net.cn/vendor/composer/ClassLoader.php ( 14.03 KB )
  6. /yingpanguazai/ssd/ssd1/www/a.460.net.cn/vendor/composer/autoload_static.php ( 4.90 KB )
  7. /yingpanguazai/ssd/ssd1/www/a.460.net.cn/vendor/topthink/think-helper/src/helper.php ( 8.34 KB )
  8. /yingpanguazai/ssd/ssd1/www/a.460.net.cn/vendor/topthink/think-validate/src/helper.php ( 2.19 KB )
  9. /yingpanguazai/ssd/ssd1/www/a.460.net.cn/vendor/topthink/think-orm/src/helper.php ( 1.47 KB )
  10. /yingpanguazai/ssd/ssd1/www/a.460.net.cn/vendor/topthink/think-orm/stubs/load_stubs.php ( 0.16 KB )
  11. /yingpanguazai/ssd/ssd1/www/a.460.net.cn/vendor/topthink/framework/src/think/Exception.php ( 1.69 KB )
  12. /yingpanguazai/ssd/ssd1/www/a.460.net.cn/vendor/topthink/think-container/src/Facade.php ( 2.71 KB )
  13. /yingpanguazai/ssd/ssd1/www/a.460.net.cn/vendor/symfony/deprecation-contracts/function.php ( 0.99 KB )
  14. /yingpanguazai/ssd/ssd1/www/a.460.net.cn/vendor/symfony/polyfill-mbstring/bootstrap.php ( 8.26 KB )
  15. /yingpanguazai/ssd/ssd1/www/a.460.net.cn/vendor/symfony/polyfill-mbstring/bootstrap80.php ( 9.78 KB )
  16. /yingpanguazai/ssd/ssd1/www/a.460.net.cn/vendor/symfony/var-dumper/Resources/functions/dump.php ( 1.49 KB )
  17. /yingpanguazai/ssd/ssd1/www/a.460.net.cn/vendor/topthink/think-dumper/src/helper.php ( 0.18 KB )
  18. /yingpanguazai/ssd/ssd1/www/a.460.net.cn/vendor/symfony/var-dumper/VarDumper.php ( 4.30 KB )
  19. /yingpanguazai/ssd/ssd1/www/a.460.net.cn/vendor/topthink/framework/src/think/App.php ( 15.30 KB )
  20. /yingpanguazai/ssd/ssd1/www/a.460.net.cn/vendor/topthink/think-container/src/Container.php ( 15.76 KB )
  21. /yingpanguazai/ssd/ssd1/www/a.460.net.cn/vendor/psr/container/src/ContainerInterface.php ( 1.02 KB )
  22. /yingpanguazai/ssd/ssd1/www/a.460.net.cn/app/provider.php ( 0.19 KB )
  23. /yingpanguazai/ssd/ssd1/www/a.460.net.cn/vendor/topthink/framework/src/think/Http.php ( 6.04 KB )
  24. /yingpanguazai/ssd/ssd1/www/a.460.net.cn/vendor/topthink/think-helper/src/helper/Str.php ( 7.29 KB )
  25. /yingpanguazai/ssd/ssd1/www/a.460.net.cn/vendor/topthink/framework/src/think/Env.php ( 4.68 KB )
  26. /yingpanguazai/ssd/ssd1/www/a.460.net.cn/app/common.php ( 0.03 KB )
  27. /yingpanguazai/ssd/ssd1/www/a.460.net.cn/vendor/topthink/framework/src/helper.php ( 18.78 KB )
  28. /yingpanguazai/ssd/ssd1/www/a.460.net.cn/vendor/topthink/framework/src/think/Config.php ( 5.54 KB )
  29. /yingpanguazai/ssd/ssd1/www/a.460.net.cn/config/app.php ( 0.95 KB )
  30. /yingpanguazai/ssd/ssd1/www/a.460.net.cn/config/cache.php ( 0.78 KB )
  31. /yingpanguazai/ssd/ssd1/www/a.460.net.cn/config/console.php ( 0.23 KB )
  32. /yingpanguazai/ssd/ssd1/www/a.460.net.cn/config/cookie.php ( 0.56 KB )
  33. /yingpanguazai/ssd/ssd1/www/a.460.net.cn/config/database.php ( 2.48 KB )
  34. /yingpanguazai/ssd/ssd1/www/a.460.net.cn/vendor/topthink/framework/src/think/facade/Env.php ( 1.67 KB )
  35. /yingpanguazai/ssd/ssd1/www/a.460.net.cn/config/filesystem.php ( 0.61 KB )
  36. /yingpanguazai/ssd/ssd1/www/a.460.net.cn/config/lang.php ( 0.91 KB )
  37. /yingpanguazai/ssd/ssd1/www/a.460.net.cn/config/log.php ( 1.35 KB )
  38. /yingpanguazai/ssd/ssd1/www/a.460.net.cn/config/middleware.php ( 0.19 KB )
  39. /yingpanguazai/ssd/ssd1/www/a.460.net.cn/config/route.php ( 1.89 KB )
  40. /yingpanguazai/ssd/ssd1/www/a.460.net.cn/config/session.php ( 0.57 KB )
  41. /yingpanguazai/ssd/ssd1/www/a.460.net.cn/config/trace.php ( 0.34 KB )
  42. /yingpanguazai/ssd/ssd1/www/a.460.net.cn/config/view.php ( 0.82 KB )
  43. /yingpanguazai/ssd/ssd1/www/a.460.net.cn/app/event.php ( 0.25 KB )
  44. /yingpanguazai/ssd/ssd1/www/a.460.net.cn/vendor/topthink/framework/src/think/Event.php ( 7.67 KB )
  45. /yingpanguazai/ssd/ssd1/www/a.460.net.cn/app/service.php ( 0.13 KB )
  46. /yingpanguazai/ssd/ssd1/www/a.460.net.cn/app/AppService.php ( 0.26 KB )
  47. /yingpanguazai/ssd/ssd1/www/a.460.net.cn/vendor/topthink/framework/src/think/Service.php ( 1.64 KB )
  48. /yingpanguazai/ssd/ssd1/www/a.460.net.cn/vendor/topthink/framework/src/think/Lang.php ( 7.35 KB )
  49. /yingpanguazai/ssd/ssd1/www/a.460.net.cn/vendor/topthink/framework/src/lang/zh-cn.php ( 13.70 KB )
  50. /yingpanguazai/ssd/ssd1/www/a.460.net.cn/vendor/topthink/framework/src/think/initializer/Error.php ( 3.31 KB )
  51. /yingpanguazai/ssd/ssd1/www/a.460.net.cn/vendor/topthink/framework/src/think/initializer/RegisterService.php ( 1.33 KB )
  52. /yingpanguazai/ssd/ssd1/www/a.460.net.cn/vendor/services.php ( 0.14 KB )
  53. /yingpanguazai/ssd/ssd1/www/a.460.net.cn/vendor/topthink/framework/src/think/service/PaginatorService.php ( 1.52 KB )
  54. /yingpanguazai/ssd/ssd1/www/a.460.net.cn/vendor/topthink/framework/src/think/service/ValidateService.php ( 0.99 KB )
  55. /yingpanguazai/ssd/ssd1/www/a.460.net.cn/vendor/topthink/framework/src/think/service/ModelService.php ( 2.04 KB )
  56. /yingpanguazai/ssd/ssd1/www/a.460.net.cn/vendor/topthink/think-trace/src/Service.php ( 0.77 KB )
  57. /yingpanguazai/ssd/ssd1/www/a.460.net.cn/vendor/topthink/framework/src/think/Middleware.php ( 6.72 KB )
  58. /yingpanguazai/ssd/ssd1/www/a.460.net.cn/vendor/topthink/framework/src/think/initializer/BootService.php ( 0.77 KB )
  59. /yingpanguazai/ssd/ssd1/www/a.460.net.cn/vendor/topthink/think-orm/src/Paginator.php ( 11.86 KB )
  60. /yingpanguazai/ssd/ssd1/www/a.460.net.cn/vendor/topthink/think-validate/src/Validate.php ( 63.20 KB )
  61. /yingpanguazai/ssd/ssd1/www/a.460.net.cn/vendor/topthink/think-orm/src/Model.php ( 23.55 KB )
  62. /yingpanguazai/ssd/ssd1/www/a.460.net.cn/vendor/topthink/think-orm/src/model/concern/Attribute.php ( 21.05 KB )
  63. /yingpanguazai/ssd/ssd1/www/a.460.net.cn/vendor/topthink/think-orm/src/model/concern/AutoWriteData.php ( 4.21 KB )
  64. /yingpanguazai/ssd/ssd1/www/a.460.net.cn/vendor/topthink/think-orm/src/model/concern/Conversion.php ( 6.44 KB )
  65. /yingpanguazai/ssd/ssd1/www/a.460.net.cn/vendor/topthink/think-orm/src/model/concern/DbConnect.php ( 5.16 KB )
  66. /yingpanguazai/ssd/ssd1/www/a.460.net.cn/vendor/topthink/think-orm/src/model/concern/ModelEvent.php ( 2.33 KB )
  67. /yingpanguazai/ssd/ssd1/www/a.460.net.cn/vendor/topthink/think-orm/src/model/concern/RelationShip.php ( 28.29 KB )
  68. /yingpanguazai/ssd/ssd1/www/a.460.net.cn/vendor/topthink/think-helper/src/contract/Arrayable.php ( 0.09 KB )
  69. /yingpanguazai/ssd/ssd1/www/a.460.net.cn/vendor/topthink/think-helper/src/contract/Jsonable.php ( 0.13 KB )
  70. /yingpanguazai/ssd/ssd1/www/a.460.net.cn/vendor/topthink/think-orm/src/model/contract/Modelable.php ( 0.09 KB )
  71. /yingpanguazai/ssd/ssd1/www/a.460.net.cn/vendor/topthink/framework/src/think/Db.php ( 2.88 KB )
  72. /yingpanguazai/ssd/ssd1/www/a.460.net.cn/vendor/topthink/think-orm/src/DbManager.php ( 8.52 KB )
  73. /yingpanguazai/ssd/ssd1/www/a.460.net.cn/vendor/topthink/framework/src/think/Log.php ( 6.28 KB )
  74. /yingpanguazai/ssd/ssd1/www/a.460.net.cn/vendor/topthink/framework/src/think/Manager.php ( 3.92 KB )
  75. /yingpanguazai/ssd/ssd1/www/a.460.net.cn/vendor/psr/log/src/LoggerTrait.php ( 2.69 KB )
  76. /yingpanguazai/ssd/ssd1/www/a.460.net.cn/vendor/psr/log/src/LoggerInterface.php ( 2.71 KB )
  77. /yingpanguazai/ssd/ssd1/www/a.460.net.cn/vendor/topthink/framework/src/think/Cache.php ( 4.92 KB )
  78. /yingpanguazai/ssd/ssd1/www/a.460.net.cn/vendor/psr/simple-cache/src/CacheInterface.php ( 4.71 KB )
  79. /yingpanguazai/ssd/ssd1/www/a.460.net.cn/vendor/topthink/think-helper/src/helper/Arr.php ( 16.63 KB )
  80. /yingpanguazai/ssd/ssd1/www/a.460.net.cn/vendor/topthink/framework/src/think/cache/driver/File.php ( 7.84 KB )
  81. /yingpanguazai/ssd/ssd1/www/a.460.net.cn/vendor/topthink/framework/src/think/cache/Driver.php ( 9.03 KB )
  82. /yingpanguazai/ssd/ssd1/www/a.460.net.cn/vendor/topthink/framework/src/think/contract/CacheHandlerInterface.php ( 1.99 KB )
  83. /yingpanguazai/ssd/ssd1/www/a.460.net.cn/app/Request.php ( 0.09 KB )
  84. /yingpanguazai/ssd/ssd1/www/a.460.net.cn/vendor/topthink/framework/src/think/Request.php ( 55.78 KB )
  85. /yingpanguazai/ssd/ssd1/www/a.460.net.cn/app/middleware.php ( 0.25 KB )
  86. /yingpanguazai/ssd/ssd1/www/a.460.net.cn/vendor/topthink/framework/src/think/Pipeline.php ( 2.61 KB )
  87. /yingpanguazai/ssd/ssd1/www/a.460.net.cn/vendor/topthink/think-trace/src/TraceDebug.php ( 3.40 KB )
  88. /yingpanguazai/ssd/ssd1/www/a.460.net.cn/vendor/topthink/framework/src/think/middleware/SessionInit.php ( 1.94 KB )
  89. /yingpanguazai/ssd/ssd1/www/a.460.net.cn/vendor/topthink/framework/src/think/Session.php ( 1.80 KB )
  90. /yingpanguazai/ssd/ssd1/www/a.460.net.cn/vendor/topthink/framework/src/think/session/driver/File.php ( 6.27 KB )
  91. /yingpanguazai/ssd/ssd1/www/a.460.net.cn/vendor/topthink/framework/src/think/contract/SessionHandlerInterface.php ( 0.87 KB )
  92. /yingpanguazai/ssd/ssd1/www/a.460.net.cn/vendor/topthink/framework/src/think/session/Store.php ( 7.12 KB )
  93. /yingpanguazai/ssd/ssd1/www/a.460.net.cn/vendor/topthink/framework/src/think/Route.php ( 23.73 KB )
  94. /yingpanguazai/ssd/ssd1/www/a.460.net.cn/vendor/topthink/framework/src/think/route/RuleName.php ( 5.75 KB )
  95. /yingpanguazai/ssd/ssd1/www/a.460.net.cn/vendor/topthink/framework/src/think/route/Domain.php ( 2.53 KB )
  96. /yingpanguazai/ssd/ssd1/www/a.460.net.cn/vendor/topthink/framework/src/think/route/RuleGroup.php ( 22.43 KB )
  97. /yingpanguazai/ssd/ssd1/www/a.460.net.cn/vendor/topthink/framework/src/think/route/Rule.php ( 26.95 KB )
  98. /yingpanguazai/ssd/ssd1/www/a.460.net.cn/vendor/topthink/framework/src/think/route/RuleItem.php ( 9.78 KB )
  99. /yingpanguazai/ssd/ssd1/www/a.460.net.cn/route/app.php ( 1.72 KB )
  100. /yingpanguazai/ssd/ssd1/www/a.460.net.cn/vendor/topthink/framework/src/think/facade/Route.php ( 4.70 KB )
  101. /yingpanguazai/ssd/ssd1/www/a.460.net.cn/vendor/topthink/framework/src/think/route/dispatch/Controller.php ( 4.74 KB )
  102. /yingpanguazai/ssd/ssd1/www/a.460.net.cn/vendor/topthink/framework/src/think/route/Dispatch.php ( 10.44 KB )
  103. /yingpanguazai/ssd/ssd1/www/a.460.net.cn/app/controller/Index.php ( 4.81 KB )
  104. /yingpanguazai/ssd/ssd1/www/a.460.net.cn/app/BaseController.php ( 2.05 KB )
  105. /yingpanguazai/ssd/ssd1/www/a.460.net.cn/vendor/topthink/think-orm/src/facade/Db.php ( 0.93 KB )
  106. /yingpanguazai/ssd/ssd1/www/a.460.net.cn/vendor/topthink/think-orm/src/db/connector/Mysql.php ( 5.44 KB )
  107. /yingpanguazai/ssd/ssd1/www/a.460.net.cn/vendor/topthink/think-orm/src/db/PDOConnection.php ( 52.47 KB )
  108. /yingpanguazai/ssd/ssd1/www/a.460.net.cn/vendor/topthink/think-orm/src/db/Connection.php ( 8.39 KB )
  109. /yingpanguazai/ssd/ssd1/www/a.460.net.cn/vendor/topthink/think-orm/src/db/ConnectionInterface.php ( 4.57 KB )
  110. /yingpanguazai/ssd/ssd1/www/a.460.net.cn/vendor/topthink/think-orm/src/db/builder/Mysql.php ( 16.58 KB )
  111. /yingpanguazai/ssd/ssd1/www/a.460.net.cn/vendor/topthink/think-orm/src/db/Builder.php ( 24.06 KB )
  112. /yingpanguazai/ssd/ssd1/www/a.460.net.cn/vendor/topthink/think-orm/src/db/BaseBuilder.php ( 27.50 KB )
  113. /yingpanguazai/ssd/ssd1/www/a.460.net.cn/vendor/topthink/think-orm/src/db/Query.php ( 15.71 KB )
  114. /yingpanguazai/ssd/ssd1/www/a.460.net.cn/vendor/topthink/think-orm/src/db/BaseQuery.php ( 45.13 KB )
  115. /yingpanguazai/ssd/ssd1/www/a.460.net.cn/vendor/topthink/think-orm/src/db/concern/TimeFieldQuery.php ( 7.43 KB )
  116. /yingpanguazai/ssd/ssd1/www/a.460.net.cn/vendor/topthink/think-orm/src/db/concern/AggregateQuery.php ( 3.26 KB )
  117. /yingpanguazai/ssd/ssd1/www/a.460.net.cn/vendor/topthink/think-orm/src/db/concern/ModelRelationQuery.php ( 20.07 KB )
  118. /yingpanguazai/ssd/ssd1/www/a.460.net.cn/vendor/topthink/think-orm/src/db/concern/ParamsBind.php ( 3.66 KB )
  119. /yingpanguazai/ssd/ssd1/www/a.460.net.cn/vendor/topthink/think-orm/src/db/concern/ResultOperation.php ( 7.01 KB )
  120. /yingpanguazai/ssd/ssd1/www/a.460.net.cn/vendor/topthink/think-orm/src/db/concern/WhereQuery.php ( 19.37 KB )
  121. /yingpanguazai/ssd/ssd1/www/a.460.net.cn/vendor/topthink/think-orm/src/db/concern/JoinAndViewQuery.php ( 7.11 KB )
  122. /yingpanguazai/ssd/ssd1/www/a.460.net.cn/vendor/topthink/think-orm/src/db/concern/TableFieldInfo.php ( 2.63 KB )
  123. /yingpanguazai/ssd/ssd1/www/a.460.net.cn/vendor/topthink/think-orm/src/db/concern/Transaction.php ( 2.77 KB )
  124. /yingpanguazai/ssd/ssd1/www/a.460.net.cn/vendor/topthink/framework/src/think/log/driver/File.php ( 5.96 KB )
  125. /yingpanguazai/ssd/ssd1/www/a.460.net.cn/vendor/topthink/framework/src/think/contract/LogHandlerInterface.php ( 0.86 KB )
  126. /yingpanguazai/ssd/ssd1/www/a.460.net.cn/vendor/topthink/framework/src/think/log/Channel.php ( 3.89 KB )
  127. /yingpanguazai/ssd/ssd1/www/a.460.net.cn/vendor/topthink/framework/src/think/event/LogRecord.php ( 1.02 KB )
  128. /yingpanguazai/ssd/ssd1/www/a.460.net.cn/vendor/topthink/think-helper/src/Collection.php ( 16.47 KB )
  129. /yingpanguazai/ssd/ssd1/www/a.460.net.cn/vendor/topthink/framework/src/think/facade/View.php ( 1.70 KB )
  130. /yingpanguazai/ssd/ssd1/www/a.460.net.cn/vendor/topthink/framework/src/think/View.php ( 4.39 KB )
  131. /yingpanguazai/ssd/ssd1/www/a.460.net.cn/vendor/topthink/framework/src/think/Response.php ( 8.81 KB )
  132. /yingpanguazai/ssd/ssd1/www/a.460.net.cn/vendor/topthink/framework/src/think/response/View.php ( 3.29 KB )
  133. /yingpanguazai/ssd/ssd1/www/a.460.net.cn/vendor/topthink/framework/src/think/Cookie.php ( 6.06 KB )
  134. /yingpanguazai/ssd/ssd1/www/a.460.net.cn/vendor/topthink/think-view/src/Think.php ( 8.38 KB )
  135. /yingpanguazai/ssd/ssd1/www/a.460.net.cn/vendor/topthink/framework/src/think/contract/TemplateHandlerInterface.php ( 1.60 KB )
  136. /yingpanguazai/ssd/ssd1/www/a.460.net.cn/vendor/topthink/think-template/src/Template.php ( 46.61 KB )
  137. /yingpanguazai/ssd/ssd1/www/a.460.net.cn/vendor/topthink/think-template/src/template/driver/File.php ( 2.41 KB )
  138. /yingpanguazai/ssd/ssd1/www/a.460.net.cn/vendor/topthink/think-template/src/template/contract/DriverInterface.php ( 0.86 KB )
  139. /yingpanguazai/ssd/ssd1/www/a.460.net.cn/runtime/temp/80ec142d437acc197a4b556a08c383fc.php ( 11.98 KB )
  140. /yingpanguazai/ssd/ssd1/www/a.460.net.cn/vendor/topthink/think-trace/src/Html.php ( 4.42 KB )
  1. CONNECT:[ UseTime:0.001079s ] mysql:host=127.0.0.1;port=3306;dbname=aa460;charset=utf8mb4
  2. SHOW FULL COLUMNS FROM `fenlei` [ RunTime:0.001785s ]
  3. SELECT * FROM `fenlei` WHERE `fid` = 0 [ RunTime:0.000762s ]
  4. SELECT * FROM `fenlei` WHERE `fid` = 63 [ RunTime:0.000675s ]
  5. SHOW FULL COLUMNS FROM `set` [ RunTime:0.001509s ]
  6. SELECT * FROM `set` [ RunTime:0.000601s ]
  7. SHOW FULL COLUMNS FROM `article` [ RunTime:0.001646s ]
  8. SELECT * FROM `article` WHERE `id` = 490512 LIMIT 1 [ RunTime:0.005034s ]
  9. UPDATE `article` SET `lasttime` = 1774902777 WHERE `id` = 490512 [ RunTime:0.001526s ]
  10. SELECT * FROM `fenlei` WHERE `id` = 64 LIMIT 1 [ RunTime:0.000693s ]
  11. SELECT * FROM `article` WHERE `id` < 490512 ORDER BY `id` DESC LIMIT 1 [ RunTime:0.001231s ]
  12. SELECT * FROM `article` WHERE `id` > 490512 ORDER BY `id` ASC LIMIT 1 [ RunTime:0.004274s ]
  13. SELECT * FROM `article` WHERE `id` < 490512 ORDER BY `id` DESC LIMIT 10 [ RunTime:0.013540s ]
  14. SELECT * FROM `article` WHERE `id` < 490512 ORDER BY `id` DESC LIMIT 10,10 [ RunTime:0.017328s ]
  15. SELECT * FROM `article` WHERE `id` < 490512 ORDER BY `id` DESC LIMIT 20,10 [ RunTime:0.001666s ]
0.221253s