当前位置:首页>南昌>IF:10.6!南昌大学团队借 CHARLS 数据库,斩获双一区TOP,思路简单易复刻!

IF:10.6!南昌大学团队借 CHARLS 数据库,斩获双一区TOP,思路简单易复刻!

  • 2026-05-09 02:54:55
IF:10.6!南昌大学团队借 CHARLS 数据库,斩获双一区TOP,思路简单易复刻!

点击

上方蓝字

关注我吧

目前关于这个话题了解多少?

肥胖和异常脂质代谢均增加CMM风险,AO比BMI更具风险预测价值,非传统脂质参数优于传统脂质参数,但二者联合影响及机制不明。

关键研究问题是什么?

腹部肥胖与非传统脂质参数对CMM发生风险的独立、联合影响及二者间的介导作用。

有什么新鲜事?

首次明确AO可部分介导非传统脂质参数与CMM的关联,且二者联合存在显著风险叠加效应,明确LCI等参数的阈值效应。

这项研究将如何影响临床实践?

强调联合评估AO与非传统脂质参数,助力CMM高风险个体早期识别,优化初级预防策略,降低发病负担

亮点

①首个全面评估AO与非传统脂质参数对CMM的联合关联及介导效应的研究。

②依托多中心前瞻性队列,样本量大、代表性强,结果稳健性高。

③明确非传统脂质参数与CMM的剂量-反应关系及部分参数的阈值效应。

④证实AO对脂质代谢的介导作用,为CMM预防提供新的机制参考。

引言

心血管代谢多病(CMM)是老龄化背景下高发的慢性共病,以糖尿病、心脏病、中风共存为特征,严重加重社会医疗负担,早期预防至关重要。腹部肥胖(AO)较BMI更能反映心血管代谢风险,非传统脂质参数预测价值优于传统脂质指标,但二者对CMM风险的独立及联合影响尚未明确。

⭐基于此,本研究依托中国健康与退休纵向研究(CHARLS)2011–2018年数据,探究AO与非传统脂质参数的联合作用及介导机制,为CMM初级预防提供可靠的临床参考依据。

(想用CHARLS发高分SCI,关注“干货生信”联系后台小助手,助力冲刺科研梦想!)

文献分享

研究目标

探讨腹部肥胖与非传统脂质参数对45岁及以上人群CMM发病率的独立、联合及互惠介导效应,为CMM初级预防提供依据。

数据来源

来源于2011–2018年中国健康与退休纵向研究(CHARLS),最终纳入7597名符合条件的45岁及以上参与者。

研究方法

研究设计与参与者筛选

采用前瞻性队列研究设计,纳入2011年CHARLS基线17708名参与者,按既定标准排除不合格者,最终保留7597名45岁及以上参与者,随访至2018年。

图1,参与者纳入与排除标准流程图

数据收集与测量

由受过培训的人员采集人体测量数据(身高、体重、腰围等)、静脉血样,收集人口学、健康相关及药物使用等信息,检测血清脂质等生物标志物。

关键指标定义

AO按中国标准定义(男性≥85cm、女性≥80cm);计算6种非传统脂质参数;CMM定义为糖尿病、心脏病、中风中至少两种共存。

缺失数据处理

采用多重填补技术,基于链式方程马尔可夫链蒙特卡洛方法生成5个填补数据集,合并分析结果以减少偏差。

统计分析方法

采用Kaplan-Meier分析累计风险,Cox比例风险模型分析关联,RCS分析非线性关系,进行亚组、敏感性及中介分析验证结果稳健性。

预测分析:基于集成嵌套拉普拉斯近似(INLA)框架的贝叶斯年龄-时期-队列(BAPC)模型,预测2050年全球老年人皮肤癌负担趋势。所有分析采用R统计软件完成,世界地图绘制使用QGIS软件。

点击上方名片,关注干货生信,带你探索科研领域!

研究结果

01

研究参与者的基线特征

👉本研究纳入 2011-2018 年 CHARLS 研究 7597 名参与者,平均年龄 58.00 岁、男性占 45.20%;经最长 7.0 年随访,基线未感染 CMM 的参与者中 699 人(9.20%)后续确诊 CMM。研究按 CMM 诊断分组分析人群基线特征发现,CMM 组更易为高龄、女性、AO 患者、非吸烟者,且多居住在城市;该组基线时慢性病(高血压、糖尿病、心脏病、中风)患病率及抗高血压、抗糖尿病等相关药物使用率均更高。同时,CMM 组的 SBP、DBP、白天午睡时长、血脂、血糖、炎症指标等多项指标水平显著更高,夜间睡眠时长、HDL-C、eGFR 则显著更低,且上述差异均有统计学意义(P<0.05)。

表1 有无CMM参与者的基线特征

02

非传统脂质指标与腹部肥胖与患CMM风险的联合关联

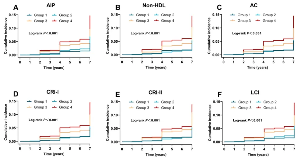
👉图 2 呈现非传统脂质参数与腹部肥胖(AO)联合评估下 CMM 的累计发病率,AO 合并高水平非传统脂质指标者的 CMM 发病率最高。经多变量调整的 Cox 回归分析显示,完全调整模型中,AO 且非传统脂质参数较高者的 CMM 发病风险最高,其次为 AO 且参数较低者,再是非 AO 且参数较高者,非 AO 且参数低于中位数者风险最低(表 2);其中 AO 且 AIP 指数高的亚组风险最显著(HR=2.23,95% CI=1.73–2.87)。

图2,腹部肥胖与非传统脂质参数(A-F)的CMM风险K-M图。

表2 非传统血脂指标与腹部肥胖与CMM风险的关联

03

非线性关系的检测

👉采用多变量调整限制性立方样条分析检测非线性关系,结果显示:AO 参与者中,AIP、非 HDL-C 等 5 项指标与 CMM 风险线性正相关(非线性 P>0.05),仅 LCI 呈非线性相关(非线性 P<0.05);经两段 Cox 模型分析,其拐点为 42.78,LCI < 该值时与 CMM 风险正相关(HR=1.02),高于该值则无显著关联。无 AO 参与者中,AIP 等 4 项指标呈线性正相关,CRI-II 呈非线性相关,拐点为 4.06,拐点后与 CMM 风险显著正相关(HR=2.07),拐点前无关联。

图3,非传统脂质参数与AO(A-F)参与者CMM风险之间的剂量-反应关系。

表3 非传统脂质参数对AO参与者CMM风险的阈值效应分析

04

亚组与敏感性分析

👉图 4 为按年龄、性别、BMI、吸烟 / 饮酒状况、高血压分层的亚组分析森林图,仅高血压与 CMM 风险存在显著交互作用(P<0.05),且该亚组内二者仍与 CMM 密切相关;其余分层因素交互作用均不显著,提示非传统脂质参数与 AO 对 CMM 风险的联合影响,在不同人口学及临床亚组中具有一致性。

👉为验证结果稳健性,开展多项敏感性分析:完整数据集与插补数据集结果一致;排除基线慢病及相关治疗参与者、剔除高血压 / 癌症患者后,联合及单独效应仍与 CMM 风险显著相关;且 AO 与非传统脂质参数的联合效应,对糖尿病、心脏病、中风风险的影响也均具有统计学显著性。

图4,基于腹部肥胖和非传统血脂参数(A-F)高水平的亚组,进行多变量调整的Cox回归分析森林图。

表4 AO和非传统脂质参数对糖尿病、心脏病和中风风险的联合影响的敏感性分析(N = 6,388)

05

调节分析

👉图 5 分析了 AO 对 6 种非传统脂质参数与 CMM 风险关联的介导效应。完全调整后,AO 对各参数的中介比例为 12.18%~40.35%(均 P<0.01);仅 AIP 对 AO 与 CMM 风险的中介效应显著(9.24%,P<0.05),其余参数均无显著介导效应(均 P>0.05),提示 AO 可能通过部分介导血清脂质代谢促进 CMM 发生。

图5,腹部肥胖的介导分析,研究非传统脂质参数与发生CMM风险之间的关联。

文章小结

⭐本研究基于CHARLS 2011–2018年数据,纳入7597名45岁及以上参与者,探究AO与非传统脂质参数对CMM的影响。结果显示,7年随访期间CMM发生率为9.20%,AO与非传统脂质参数联合存在显著风险叠加效应,AO可部分介导非传统脂质参数与CMM的关联,且部分脂质参数存在阈值效应。

⭐亚组及敏感性分析证实结果稳健。研究填补了相关研究空白,明确了联合评估AO与非传统脂质参数对CMM初级预防的重要性,可为高风险个体早期识别及干预策略制定提供可靠的临床依据,同时客观指出局限性,为后续研究指明方向。

(想用CHARLS发高分SCI,关注“干货生信”联系后台小助手,助力冲刺科研梦想!)

END

             干货生信           

提供思路、选题设计方案评估、数据挖掘纯生信分析!

IF21.3!太狠了!哈佛团队一张表 + 四幅图拿下 JAMA 子刊!

IF10.6!南京医科大学斩获中科院1区TOP!CTI指数与中风风险:血糖分层新洞察!

太燃了!IF42.7 顶刊 BMJ!海南医科大学 GBD 公共数据库研究杀疯顶刊圈!

IF10.6! 多组学上大分!护心线粒体稳态抗 LCAC 积累新策,登顶中科院1区TOP!!

最新文章

随机文章

基本 文件 流程 错误 SQL 调试
  1. 请求信息 : 2026-05-13 16:40:14 HTTP/2.0 GET : https://a.460.net.cn/a/470143.html
  2. 运行时间 : 0.244247s [ 吞吐率:4.09req/s ] 内存消耗:4,347.92kb 文件加载:140
  3. 缓存信息 : 0 reads,0 writes
  4. 会话信息 : SESSION_ID=990fa96d229d0e56ae15a6d12fdf6c5c
  1. /yingpanguazai/ssd/ssd1/www/a.460.net.cn/public/index.php ( 0.79 KB )
  2. /yingpanguazai/ssd/ssd1/www/a.460.net.cn/vendor/autoload.php ( 0.17 KB )
  3. /yingpanguazai/ssd/ssd1/www/a.460.net.cn/vendor/composer/autoload_real.php ( 2.49 KB )
  4. /yingpanguazai/ssd/ssd1/www/a.460.net.cn/vendor/composer/platform_check.php ( 0.90 KB )
  5. /yingpanguazai/ssd/ssd1/www/a.460.net.cn/vendor/composer/ClassLoader.php ( 14.03 KB )
  6. /yingpanguazai/ssd/ssd1/www/a.460.net.cn/vendor/composer/autoload_static.php ( 4.90 KB )
  7. /yingpanguazai/ssd/ssd1/www/a.460.net.cn/vendor/topthink/think-helper/src/helper.php ( 8.34 KB )
  8. /yingpanguazai/ssd/ssd1/www/a.460.net.cn/vendor/topthink/think-validate/src/helper.php ( 2.19 KB )
  9. /yingpanguazai/ssd/ssd1/www/a.460.net.cn/vendor/topthink/think-orm/src/helper.php ( 1.47 KB )
  10. /yingpanguazai/ssd/ssd1/www/a.460.net.cn/vendor/topthink/think-orm/stubs/load_stubs.php ( 0.16 KB )
  11. /yingpanguazai/ssd/ssd1/www/a.460.net.cn/vendor/topthink/framework/src/think/Exception.php ( 1.69 KB )
  12. /yingpanguazai/ssd/ssd1/www/a.460.net.cn/vendor/topthink/think-container/src/Facade.php ( 2.71 KB )
  13. /yingpanguazai/ssd/ssd1/www/a.460.net.cn/vendor/symfony/deprecation-contracts/function.php ( 0.99 KB )
  14. /yingpanguazai/ssd/ssd1/www/a.460.net.cn/vendor/symfony/polyfill-mbstring/bootstrap.php ( 8.26 KB )
  15. /yingpanguazai/ssd/ssd1/www/a.460.net.cn/vendor/symfony/polyfill-mbstring/bootstrap80.php ( 9.78 KB )
  16. /yingpanguazai/ssd/ssd1/www/a.460.net.cn/vendor/symfony/var-dumper/Resources/functions/dump.php ( 1.49 KB )
  17. /yingpanguazai/ssd/ssd1/www/a.460.net.cn/vendor/topthink/think-dumper/src/helper.php ( 0.18 KB )
  18. /yingpanguazai/ssd/ssd1/www/a.460.net.cn/vendor/symfony/var-dumper/VarDumper.php ( 4.30 KB )
  19. /yingpanguazai/ssd/ssd1/www/a.460.net.cn/vendor/topthink/framework/src/think/App.php ( 15.30 KB )
  20. /yingpanguazai/ssd/ssd1/www/a.460.net.cn/vendor/topthink/think-container/src/Container.php ( 15.76 KB )
  21. /yingpanguazai/ssd/ssd1/www/a.460.net.cn/vendor/psr/container/src/ContainerInterface.php ( 1.02 KB )
  22. /yingpanguazai/ssd/ssd1/www/a.460.net.cn/app/provider.php ( 0.19 KB )
  23. /yingpanguazai/ssd/ssd1/www/a.460.net.cn/vendor/topthink/framework/src/think/Http.php ( 6.04 KB )
  24. /yingpanguazai/ssd/ssd1/www/a.460.net.cn/vendor/topthink/think-helper/src/helper/Str.php ( 7.29 KB )
  25. /yingpanguazai/ssd/ssd1/www/a.460.net.cn/vendor/topthink/framework/src/think/Env.php ( 4.68 KB )
  26. /yingpanguazai/ssd/ssd1/www/a.460.net.cn/app/common.php ( 0.03 KB )
  27. /yingpanguazai/ssd/ssd1/www/a.460.net.cn/vendor/topthink/framework/src/helper.php ( 18.78 KB )
  28. /yingpanguazai/ssd/ssd1/www/a.460.net.cn/vendor/topthink/framework/src/think/Config.php ( 5.54 KB )
  29. /yingpanguazai/ssd/ssd1/www/a.460.net.cn/config/app.php ( 0.95 KB )
  30. /yingpanguazai/ssd/ssd1/www/a.460.net.cn/config/cache.php ( 0.78 KB )
  31. /yingpanguazai/ssd/ssd1/www/a.460.net.cn/config/console.php ( 0.23 KB )
  32. /yingpanguazai/ssd/ssd1/www/a.460.net.cn/config/cookie.php ( 0.56 KB )
  33. /yingpanguazai/ssd/ssd1/www/a.460.net.cn/config/database.php ( 2.48 KB )
  34. /yingpanguazai/ssd/ssd1/www/a.460.net.cn/vendor/topthink/framework/src/think/facade/Env.php ( 1.67 KB )
  35. /yingpanguazai/ssd/ssd1/www/a.460.net.cn/config/filesystem.php ( 0.61 KB )
  36. /yingpanguazai/ssd/ssd1/www/a.460.net.cn/config/lang.php ( 0.91 KB )
  37. /yingpanguazai/ssd/ssd1/www/a.460.net.cn/config/log.php ( 1.35 KB )
  38. /yingpanguazai/ssd/ssd1/www/a.460.net.cn/config/middleware.php ( 0.19 KB )
  39. /yingpanguazai/ssd/ssd1/www/a.460.net.cn/config/route.php ( 1.89 KB )
  40. /yingpanguazai/ssd/ssd1/www/a.460.net.cn/config/session.php ( 0.57 KB )
  41. /yingpanguazai/ssd/ssd1/www/a.460.net.cn/config/trace.php ( 0.34 KB )
  42. /yingpanguazai/ssd/ssd1/www/a.460.net.cn/config/view.php ( 0.82 KB )
  43. /yingpanguazai/ssd/ssd1/www/a.460.net.cn/app/event.php ( 0.25 KB )
  44. /yingpanguazai/ssd/ssd1/www/a.460.net.cn/vendor/topthink/framework/src/think/Event.php ( 7.67 KB )
  45. /yingpanguazai/ssd/ssd1/www/a.460.net.cn/app/service.php ( 0.13 KB )
  46. /yingpanguazai/ssd/ssd1/www/a.460.net.cn/app/AppService.php ( 0.26 KB )
  47. /yingpanguazai/ssd/ssd1/www/a.460.net.cn/vendor/topthink/framework/src/think/Service.php ( 1.64 KB )
  48. /yingpanguazai/ssd/ssd1/www/a.460.net.cn/vendor/topthink/framework/src/think/Lang.php ( 7.35 KB )
  49. /yingpanguazai/ssd/ssd1/www/a.460.net.cn/vendor/topthink/framework/src/lang/zh-cn.php ( 13.70 KB )
  50. /yingpanguazai/ssd/ssd1/www/a.460.net.cn/vendor/topthink/framework/src/think/initializer/Error.php ( 3.31 KB )
  51. /yingpanguazai/ssd/ssd1/www/a.460.net.cn/vendor/topthink/framework/src/think/initializer/RegisterService.php ( 1.33 KB )
  52. /yingpanguazai/ssd/ssd1/www/a.460.net.cn/vendor/services.php ( 0.14 KB )
  53. /yingpanguazai/ssd/ssd1/www/a.460.net.cn/vendor/topthink/framework/src/think/service/PaginatorService.php ( 1.52 KB )
  54. /yingpanguazai/ssd/ssd1/www/a.460.net.cn/vendor/topthink/framework/src/think/service/ValidateService.php ( 0.99 KB )
  55. /yingpanguazai/ssd/ssd1/www/a.460.net.cn/vendor/topthink/framework/src/think/service/ModelService.php ( 2.04 KB )
  56. /yingpanguazai/ssd/ssd1/www/a.460.net.cn/vendor/topthink/think-trace/src/Service.php ( 0.77 KB )
  57. /yingpanguazai/ssd/ssd1/www/a.460.net.cn/vendor/topthink/framework/src/think/Middleware.php ( 6.72 KB )
  58. /yingpanguazai/ssd/ssd1/www/a.460.net.cn/vendor/topthink/framework/src/think/initializer/BootService.php ( 0.77 KB )
  59. /yingpanguazai/ssd/ssd1/www/a.460.net.cn/vendor/topthink/think-orm/src/Paginator.php ( 11.86 KB )
  60. /yingpanguazai/ssd/ssd1/www/a.460.net.cn/vendor/topthink/think-validate/src/Validate.php ( 63.20 KB )
  61. /yingpanguazai/ssd/ssd1/www/a.460.net.cn/vendor/topthink/think-orm/src/Model.php ( 23.55 KB )
  62. /yingpanguazai/ssd/ssd1/www/a.460.net.cn/vendor/topthink/think-orm/src/model/concern/Attribute.php ( 21.05 KB )
  63. /yingpanguazai/ssd/ssd1/www/a.460.net.cn/vendor/topthink/think-orm/src/model/concern/AutoWriteData.php ( 4.21 KB )
  64. /yingpanguazai/ssd/ssd1/www/a.460.net.cn/vendor/topthink/think-orm/src/model/concern/Conversion.php ( 6.44 KB )
  65. /yingpanguazai/ssd/ssd1/www/a.460.net.cn/vendor/topthink/think-orm/src/model/concern/DbConnect.php ( 5.16 KB )
  66. /yingpanguazai/ssd/ssd1/www/a.460.net.cn/vendor/topthink/think-orm/src/model/concern/ModelEvent.php ( 2.33 KB )
  67. /yingpanguazai/ssd/ssd1/www/a.460.net.cn/vendor/topthink/think-orm/src/model/concern/RelationShip.php ( 28.29 KB )
  68. /yingpanguazai/ssd/ssd1/www/a.460.net.cn/vendor/topthink/think-helper/src/contract/Arrayable.php ( 0.09 KB )
  69. /yingpanguazai/ssd/ssd1/www/a.460.net.cn/vendor/topthink/think-helper/src/contract/Jsonable.php ( 0.13 KB )
  70. /yingpanguazai/ssd/ssd1/www/a.460.net.cn/vendor/topthink/think-orm/src/model/contract/Modelable.php ( 0.09 KB )
  71. /yingpanguazai/ssd/ssd1/www/a.460.net.cn/vendor/topthink/framework/src/think/Db.php ( 2.88 KB )
  72. /yingpanguazai/ssd/ssd1/www/a.460.net.cn/vendor/topthink/think-orm/src/DbManager.php ( 8.52 KB )
  73. /yingpanguazai/ssd/ssd1/www/a.460.net.cn/vendor/topthink/framework/src/think/Log.php ( 6.28 KB )
  74. /yingpanguazai/ssd/ssd1/www/a.460.net.cn/vendor/topthink/framework/src/think/Manager.php ( 3.92 KB )
  75. /yingpanguazai/ssd/ssd1/www/a.460.net.cn/vendor/psr/log/src/LoggerTrait.php ( 2.69 KB )
  76. /yingpanguazai/ssd/ssd1/www/a.460.net.cn/vendor/psr/log/src/LoggerInterface.php ( 2.71 KB )
  77. /yingpanguazai/ssd/ssd1/www/a.460.net.cn/vendor/topthink/framework/src/think/Cache.php ( 4.92 KB )
  78. /yingpanguazai/ssd/ssd1/www/a.460.net.cn/vendor/psr/simple-cache/src/CacheInterface.php ( 4.71 KB )
  79. /yingpanguazai/ssd/ssd1/www/a.460.net.cn/vendor/topthink/think-helper/src/helper/Arr.php ( 16.63 KB )
  80. /yingpanguazai/ssd/ssd1/www/a.460.net.cn/vendor/topthink/framework/src/think/cache/driver/File.php ( 7.84 KB )
  81. /yingpanguazai/ssd/ssd1/www/a.460.net.cn/vendor/topthink/framework/src/think/cache/Driver.php ( 9.03 KB )
  82. /yingpanguazai/ssd/ssd1/www/a.460.net.cn/vendor/topthink/framework/src/think/contract/CacheHandlerInterface.php ( 1.99 KB )
  83. /yingpanguazai/ssd/ssd1/www/a.460.net.cn/app/Request.php ( 0.09 KB )
  84. /yingpanguazai/ssd/ssd1/www/a.460.net.cn/vendor/topthink/framework/src/think/Request.php ( 55.78 KB )
  85. /yingpanguazai/ssd/ssd1/www/a.460.net.cn/app/middleware.php ( 0.25 KB )
  86. /yingpanguazai/ssd/ssd1/www/a.460.net.cn/vendor/topthink/framework/src/think/Pipeline.php ( 2.61 KB )
  87. /yingpanguazai/ssd/ssd1/www/a.460.net.cn/vendor/topthink/think-trace/src/TraceDebug.php ( 3.40 KB )
  88. /yingpanguazai/ssd/ssd1/www/a.460.net.cn/vendor/topthink/framework/src/think/middleware/SessionInit.php ( 1.94 KB )
  89. /yingpanguazai/ssd/ssd1/www/a.460.net.cn/vendor/topthink/framework/src/think/Session.php ( 1.80 KB )
  90. /yingpanguazai/ssd/ssd1/www/a.460.net.cn/vendor/topthink/framework/src/think/session/driver/File.php ( 6.27 KB )
  91. /yingpanguazai/ssd/ssd1/www/a.460.net.cn/vendor/topthink/framework/src/think/contract/SessionHandlerInterface.php ( 0.87 KB )
  92. /yingpanguazai/ssd/ssd1/www/a.460.net.cn/vendor/topthink/framework/src/think/session/Store.php ( 7.12 KB )
  93. /yingpanguazai/ssd/ssd1/www/a.460.net.cn/vendor/topthink/framework/src/think/Route.php ( 23.73 KB )
  94. /yingpanguazai/ssd/ssd1/www/a.460.net.cn/vendor/topthink/framework/src/think/route/RuleName.php ( 5.75 KB )
  95. /yingpanguazai/ssd/ssd1/www/a.460.net.cn/vendor/topthink/framework/src/think/route/Domain.php ( 2.53 KB )
  96. /yingpanguazai/ssd/ssd1/www/a.460.net.cn/vendor/topthink/framework/src/think/route/RuleGroup.php ( 22.43 KB )
  97. /yingpanguazai/ssd/ssd1/www/a.460.net.cn/vendor/topthink/framework/src/think/route/Rule.php ( 26.95 KB )
  98. /yingpanguazai/ssd/ssd1/www/a.460.net.cn/vendor/topthink/framework/src/think/route/RuleItem.php ( 9.78 KB )
  99. /yingpanguazai/ssd/ssd1/www/a.460.net.cn/route/app.php ( 1.72 KB )
  100. /yingpanguazai/ssd/ssd1/www/a.460.net.cn/vendor/topthink/framework/src/think/facade/Route.php ( 4.70 KB )
  101. /yingpanguazai/ssd/ssd1/www/a.460.net.cn/vendor/topthink/framework/src/think/route/dispatch/Controller.php ( 4.74 KB )
  102. /yingpanguazai/ssd/ssd1/www/a.460.net.cn/vendor/topthink/framework/src/think/route/Dispatch.php ( 10.44 KB )
  103. /yingpanguazai/ssd/ssd1/www/a.460.net.cn/app/controller/Index.php ( 4.81 KB )
  104. /yingpanguazai/ssd/ssd1/www/a.460.net.cn/app/BaseController.php ( 2.05 KB )
  105. /yingpanguazai/ssd/ssd1/www/a.460.net.cn/vendor/topthink/think-orm/src/facade/Db.php ( 0.93 KB )
  106. /yingpanguazai/ssd/ssd1/www/a.460.net.cn/vendor/topthink/think-orm/src/db/connector/Mysql.php ( 5.44 KB )
  107. /yingpanguazai/ssd/ssd1/www/a.460.net.cn/vendor/topthink/think-orm/src/db/PDOConnection.php ( 52.47 KB )
  108. /yingpanguazai/ssd/ssd1/www/a.460.net.cn/vendor/topthink/think-orm/src/db/Connection.php ( 8.39 KB )
  109. /yingpanguazai/ssd/ssd1/www/a.460.net.cn/vendor/topthink/think-orm/src/db/ConnectionInterface.php ( 4.57 KB )
  110. /yingpanguazai/ssd/ssd1/www/a.460.net.cn/vendor/topthink/think-orm/src/db/builder/Mysql.php ( 16.58 KB )
  111. /yingpanguazai/ssd/ssd1/www/a.460.net.cn/vendor/topthink/think-orm/src/db/Builder.php ( 24.06 KB )
  112. /yingpanguazai/ssd/ssd1/www/a.460.net.cn/vendor/topthink/think-orm/src/db/BaseBuilder.php ( 27.50 KB )
  113. /yingpanguazai/ssd/ssd1/www/a.460.net.cn/vendor/topthink/think-orm/src/db/Query.php ( 15.71 KB )
  114. /yingpanguazai/ssd/ssd1/www/a.460.net.cn/vendor/topthink/think-orm/src/db/BaseQuery.php ( 45.13 KB )
  115. /yingpanguazai/ssd/ssd1/www/a.460.net.cn/vendor/topthink/think-orm/src/db/concern/TimeFieldQuery.php ( 7.43 KB )
  116. /yingpanguazai/ssd/ssd1/www/a.460.net.cn/vendor/topthink/think-orm/src/db/concern/AggregateQuery.php ( 3.26 KB )
  117. /yingpanguazai/ssd/ssd1/www/a.460.net.cn/vendor/topthink/think-orm/src/db/concern/ModelRelationQuery.php ( 20.07 KB )
  118. /yingpanguazai/ssd/ssd1/www/a.460.net.cn/vendor/topthink/think-orm/src/db/concern/ParamsBind.php ( 3.66 KB )
  119. /yingpanguazai/ssd/ssd1/www/a.460.net.cn/vendor/topthink/think-orm/src/db/concern/ResultOperation.php ( 7.01 KB )
  120. /yingpanguazai/ssd/ssd1/www/a.460.net.cn/vendor/topthink/think-orm/src/db/concern/WhereQuery.php ( 19.37 KB )
  121. /yingpanguazai/ssd/ssd1/www/a.460.net.cn/vendor/topthink/think-orm/src/db/concern/JoinAndViewQuery.php ( 7.11 KB )
  122. /yingpanguazai/ssd/ssd1/www/a.460.net.cn/vendor/topthink/think-orm/src/db/concern/TableFieldInfo.php ( 2.63 KB )
  123. /yingpanguazai/ssd/ssd1/www/a.460.net.cn/vendor/topthink/think-orm/src/db/concern/Transaction.php ( 2.77 KB )
  124. /yingpanguazai/ssd/ssd1/www/a.460.net.cn/vendor/topthink/framework/src/think/log/driver/File.php ( 5.96 KB )
  125. /yingpanguazai/ssd/ssd1/www/a.460.net.cn/vendor/topthink/framework/src/think/contract/LogHandlerInterface.php ( 0.86 KB )
  126. /yingpanguazai/ssd/ssd1/www/a.460.net.cn/vendor/topthink/framework/src/think/log/Channel.php ( 3.89 KB )
  127. /yingpanguazai/ssd/ssd1/www/a.460.net.cn/vendor/topthink/framework/src/think/event/LogRecord.php ( 1.02 KB )
  128. /yingpanguazai/ssd/ssd1/www/a.460.net.cn/vendor/topthink/think-helper/src/Collection.php ( 16.47 KB )
  129. /yingpanguazai/ssd/ssd1/www/a.460.net.cn/vendor/topthink/framework/src/think/facade/View.php ( 1.70 KB )
  130. /yingpanguazai/ssd/ssd1/www/a.460.net.cn/vendor/topthink/framework/src/think/View.php ( 4.39 KB )
  131. /yingpanguazai/ssd/ssd1/www/a.460.net.cn/vendor/topthink/framework/src/think/Response.php ( 8.81 KB )
  132. /yingpanguazai/ssd/ssd1/www/a.460.net.cn/vendor/topthink/framework/src/think/response/View.php ( 3.29 KB )
  133. /yingpanguazai/ssd/ssd1/www/a.460.net.cn/vendor/topthink/framework/src/think/Cookie.php ( 6.06 KB )
  134. /yingpanguazai/ssd/ssd1/www/a.460.net.cn/vendor/topthink/think-view/src/Think.php ( 8.38 KB )
  135. /yingpanguazai/ssd/ssd1/www/a.460.net.cn/vendor/topthink/framework/src/think/contract/TemplateHandlerInterface.php ( 1.60 KB )
  136. /yingpanguazai/ssd/ssd1/www/a.460.net.cn/vendor/topthink/think-template/src/Template.php ( 46.61 KB )
  137. /yingpanguazai/ssd/ssd1/www/a.460.net.cn/vendor/topthink/think-template/src/template/driver/File.php ( 2.41 KB )
  138. /yingpanguazai/ssd/ssd1/www/a.460.net.cn/vendor/topthink/think-template/src/template/contract/DriverInterface.php ( 0.86 KB )
  139. /yingpanguazai/ssd/ssd1/www/a.460.net.cn/runtime/temp/80ec142d437acc197a4b556a08c383fc.php ( 11.98 KB )
  140. /yingpanguazai/ssd/ssd1/www/a.460.net.cn/vendor/topthink/think-trace/src/Html.php ( 4.42 KB )
  1. CONNECT:[ UseTime:0.001281s ] mysql:host=127.0.0.1;port=3306;dbname=aa460;charset=utf8mb4
  2. SHOW FULL COLUMNS FROM `fenlei` [ RunTime:0.001602s ]
  3. SELECT * FROM `fenlei` WHERE `fid` = 0 [ RunTime:0.000825s ]
  4. SELECT * FROM `fenlei` WHERE `fid` = 63 [ RunTime:0.000829s ]
  5. SHOW FULL COLUMNS FROM `set` [ RunTime:0.001848s ]
  6. SELECT * FROM `set` [ RunTime:0.000688s ]
  7. SHOW FULL COLUMNS FROM `article` [ RunTime:0.001483s ]
  8. SELECT * FROM `article` WHERE `id` = 470143 LIMIT 1 [ RunTime:0.004782s ]
  9. UPDATE `article` SET `lasttime` = 1778661615 WHERE `id` = 470143 [ RunTime:0.010715s ]
  10. SELECT * FROM `fenlei` WHERE `id` = 64 LIMIT 1 [ RunTime:0.000730s ]
  11. SELECT * FROM `article` WHERE `id` < 470143 ORDER BY `id` DESC LIMIT 1 [ RunTime:0.011490s ]
  12. SELECT * FROM `article` WHERE `id` > 470143 ORDER BY `id` ASC LIMIT 1 [ RunTime:0.014125s ]
  13. SELECT * FROM `article` WHERE `id` < 470143 ORDER BY `id` DESC LIMIT 10 [ RunTime:0.001863s ]
  14. SELECT * FROM `article` WHERE `id` < 470143 ORDER BY `id` DESC LIMIT 10,10 [ RunTime:0.014289s ]
  15. SELECT * FROM `article` WHERE `id` < 470143 ORDER BY `id` DESC LIMIT 20,10 [ RunTime:0.010118s ]
0.250201s