当前位置:首页>南昌>Food Chemistry | 南昌大学张国文教授团队在蛋白-多酚-多糖偶联物基油凝胶的构建机制及其活性成分高效递送方面取得研究进展

Food Chemistry | 南昌大学张国文教授团队在蛋白-多酚-多糖偶联物基油凝胶的构建机制及其活性成分高效递送方面取得研究进展

  • 2026-04-01 19:53:56
Food Chemistry | 南昌大学张国文教授团队在蛋白-多酚-多糖偶联物基油凝胶的构建机制及其活性成分高效递送方面取得研究进展

(请点击图片查看)

Food Chemistry | 南昌大学张国文教授团队在蛋白-多酚-多糖偶联物基油凝胶的构建机制及其活性成分高效递送方面取得研究进展
近日,南昌大学食品科学与资源挖掘全国重点实验室张国文教授课题组在食品领域TOP期刊《Food Chemistry》(中科院1TOPIF=9.8)发表题为“Ovalbumin-proanthocyanidin-sodium alginate conjugate-based oleogels: Construction, characterization and resveratrol delivery performance”的研究性论文。2023硕士研究生邢增虹为论文第一作者,张国文教授为论文通讯作者。
白藜芦醇(Res)是一种天然来源的非黄酮类多酚化合物,主要存在于葡萄、花生、虎杖等植物中,具有抗炎、抗氧化、抗菌、抗肺纤维化以及心血管保护等多种生物活性。然而,Res存在水溶性低、化学稳定性差、遇光易发生异构化以及生物利用度有限等问题,极大限制了其在实际食品加工中的应用。因此,本研究开发了一种新型的卵清蛋白-原花青素-海藻酸钠(OVA-PC-SA)偶联物基油凝胶,并系统研究了该偶联物浓度对油凝胶的性质及Res递送性能的影响。
研究结论
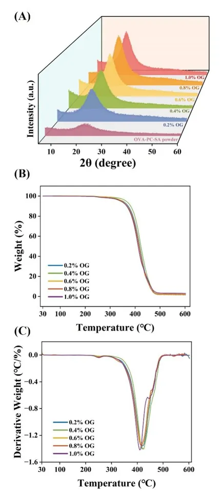
本研究表明,OVA-PC-SA偶联物可作为一种有效的凝胶因子,通过乳液模板法构建油凝胶。研究发现,偶联物浓度是影响油凝胶性能的关键因素。结果表明,当偶联物浓度为0.4%及以上时,油凝胶的油结合能力(OBC)值均超过99%,且随着偶联物浓度的增大,油凝胶的硬度、储能模量(G')、抗剪切性和结构恢复能力均显著增强,共同反映出凝胶网络结构的增强。傅里叶变换红外光谱(FTIR)分析表明,氢键和范德华力是形成油凝胶的主要驱动力。此外,OVA-PC-SA偶联物浓度影响了油凝胶的晶体特性和表面微观结构,浓度越高,晶体密度越大,油凝胶表面的突起分布越均匀。热重分析和温度扫描分析证实,OVA-PC-SA偶联物基油凝胶表现出优异的热稳定性。与葵花籽油相比,油凝胶的三维网络结构可作为物理屏障,与油凝胶剂的抗氧化特性协同作用,有效延缓脂质氧化。因此,油凝胶表现出增强的氧化稳定性,且与OVA-PC-SA偶联物的浓度呈正相关。此外,OVA-PC-SA偶联物基油凝胶对Res表现出优异的包封与荷载性能。在紫外光和热处理条件下,该油凝胶体系能够有效提高Res的保留率,对Res具有良好的保护作用,且凝胶强度较高的油凝胶保护效果尤为明显。与葵花籽油相比,油凝胶的包封显著提升了Res的体外生物可及性。本研究可能为开发新型的油凝胶剂提供有益参考,并突显了OVA-PC-SA偶联物基油凝胶在递送亲脂性生物活性成分方面的巨大潜力。
图形摘要
图形赏析
Fig.1 Visual appearance of the oleogels.
Fig. 2 Oil binding capacity (A), hardness (B) and FTIR spectra (C) of the oleogels. Different letters represent a significant difference (p< 0.05).
Fig. 3 SEM images of the oleogels.
Fig. 4 XRD spectra (A), TGA (B) and DTG (C) curves of the oleogels.
Fig. 5 Rheological properties of the oleogels: strain sweep (A), damping factor (tanδ) of strain sweep (B), viscosity curves (C), frequency sweep (D), damping factor (tanδ) of frequency sweep (E), time sweep (F), temperature sweep-heating ramp (G) and temperature sweep-cooling ramp (H), and changes in peroxide value (PV) of sunflower oil and oleogels during storage (I). Different letters represent a significant difference (p< 0.05).
Fig. 6 The EE and LC values (A) and appearance (B) of Res-loaded oleogels, and the photostability (C) and thermal stability (D) of Res-loaded sunflower oil and Res-loaded oleogels.
Fig. 7 The FFA release curves (A), Res release curves (B) and the in vitro bioavailability of Res (C).
原文链接
https://doi.org/10.1016/j.foodchem.2026.149029

通讯作者简介
张国文,二级教授,博士,博士生导师。宝钢优秀教师奖获得者,江西省百千万人才,江西省高校中青年学科带头人,食品科学与资源挖掘全国重点实验室学术带头人,国家科技奖评审专家、国家自然科学基金评审专家,国家重点研发项目评审专家,中国工程教育认证专家,教育部本科教育教学审核评估专家,国家级一流本科课程负责人;连续4年(2020-2023年)入选全球“高被引科学家”榜单,连续6年(2020-2025年)入选中国高被引学者榜单,连续4年(2022-2025年)入选全球前2%顶尖科学家年度及终身影响力榜单。近年来主持国家和省部级项目30多项,发表学术论文390多篇,其中SCI论文200多篇,h-index 56,论文总被引10000多次,主编教材或专著4部,获得科技部“振华、王义锡科技扶贫奖”,江西省自然科学二等奖1项、三等奖2项,国家级教学成果二等奖3项,江西省教学成果一等奖4项、二等奖4项,江西省优秀博士(硕士)学位论文指导教师等
第一作者简介
邢增虹,南昌大学食品学院2023级硕士研究生。研究方向为蛋白质-多酚-多糖基乳液与油凝胶的构建、表征及其体外消化特性研究。

食品放大镜 | 不同领域研究成果

(请点击标题查看)

胶体、乳液及递送系统多糖、纤维、低聚糖等

脂质蜂产品食用菌

食物蛋白、肽与氨基酸多酚类化合物淀粉

食品包装与货架期食品安全与质量控制

凝胶3D和4D打印

食品营养与人类健康食品检测与分析

食品相关合成人造肉食品风味

益生元、益生菌及合生元食物过敏

分子对接与分子动力学黄酮类化合物

食品感官科学与分析农产品贮藏与加工

肉与肉制品蛋与蛋制品水产品

奶及奶制品豆及豆制品果蔬及果蔬制品

大米及米制品

炎症性肠病糖尿病肝病神经疾病


食品放大镜 | 大杂烩

(请点击标题查看)

食品大事件食品基金项目食品奖项

人物访谈及报道CNS期刊论文

封面文章顶刊综述高被引论文

期刊征稿期刊资讯会议通知学科动态

博士招生硕士招生考研调剂夏令营

食品科普食品相关书籍竞赛

优秀博士硕士论文


食品放大镜 | 学者研究成果

(请点击学者姓名查看)

薛长湖院士金征宇院士谢明勇院士
陈卫院士朱蓓薇院士孙宝国院士
陈坚院士孙大文院士单杨院士刘仲华院士张和平教授周光宏教授江连洲教授陈峰教授聂少平教授
赵谋明教授赵国华教授李斌教授
王书军教授刘学波教授唐传核教授
张慜教授谢建华教授陈卫教授
谭明乾教授张宇昊教授王静教授
徐岩教授李春保教授孔保华教授
陈士国教授王兴国教授高彦祥教授
黄强教授方亚鹏教授汪勇教授
李媛教授刘志刚教授曾晓雄教授
汪少芸教授姜微波教授刘夫国教授
王强研究员王仲孚教授徐宝才教授
白卫滨教授高振鹏教授易俊洁教授
刘星教授甘人友副研究员范俊峰教授
翟齐啸教授李进伟教授陈启和教授
赵新淮教授杜明教授张名位研究员
侯俊财教授丁郁教授徐鑫教授
David Julian McClements教授王建龙教授
李杨教授陈雪峰、龚频团队许恒毅教授
陆颖健教授刘元法教授秦文教授
李锦铨教刘俊教授李晓东教授
倪莉教授章宝教授陈廷涛教授
张红印教授盛占武研究员姜瞻梅教授
张德权研究员齐向辉教郑家荣教授
陈翊平教授姜毓君教授毕金峰研究员
魏新林教授肖安风教授吴彩娥教授
宛晓春教授魏子淏教授龚金炎教授

周存山教授楚强研究员高鸿教授

秦磊教授邵平教授马龙教授

许正宏教授吴继红教授钟恬副教授

刘龙教授王凤忠研究员郭顺堂教授

周景文教授钟芳教授游丽君教授

吴贺君教授刘锴栋教授邓乾春研究员

白艳红教授夏小乐教授张英华教授

任晓锋教授汤晓智教授孙培龙教授

盛军、田洋团队张娟教授陈小强教授
刘建华教授林松毅教授陈海霞教授
徐志祥教授寇莉萍副教授隋晓楠教授
刘贵珊教授启航教授张春晖研究员
杨兴斌教授 古绍彬教授冯翠萍教授
李玥教授邱超副研究员刘素稳教授
李伟教授田怀香教授丁春邦教授
董秀萍教授吴伟教授张国文教授
张素芳教授潘磊庆教授陈春旭副教授
陈龙副研究员王允圃研究员王子朝副教授
邹小波教授郑金铠研究员孙庆杰教授
梁盈教授熊涛教授钟恬副教授
毛立科副教授房耀维教授孙琦副教授
马森教授闫文杰教授许敏伟教授
魏长庆教授李大鹏教授任海伟教授
黄华副研究员陈叶福教授王加华副教授

在线投稿平台链接https://www.wjx.top/jq/85151447.aspx

声明

标注‘原创’仅代表原创编译,本平台不主张对原文的版权。本平台转载仅仅是出于学术交流和传播信息的需要,并不意味着代表本平台观点或证实其内容的真实性;转载文章版权归原作者所有,作者如果不希望被转载或有侵权行为,请联系本平台删除。由于编译水平有限,推文或简历有不妥之处,深感抱歉,请联系本平台修改或者删除。

最新文章

随机文章

基本 文件 流程 错误 SQL 调试
  1. 请求信息 : 2026-04-01 23:57:52 HTTP/2.0 GET : https://a.460.net.cn/a/493638.html
  2. 运行时间 : 0.344528s [ 吞吐率:2.90req/s ] 内存消耗:4,463.43kb 文件加载:140
  3. 缓存信息 : 0 reads,0 writes
  4. 会话信息 : SESSION_ID=7d8b0b86f30d727effc822bb67436c6f
  1. /yingpanguazai/ssd/ssd1/www/a.460.net.cn/public/index.php ( 0.79 KB )
  2. /yingpanguazai/ssd/ssd1/www/a.460.net.cn/vendor/autoload.php ( 0.17 KB )
  3. /yingpanguazai/ssd/ssd1/www/a.460.net.cn/vendor/composer/autoload_real.php ( 2.49 KB )
  4. /yingpanguazai/ssd/ssd1/www/a.460.net.cn/vendor/composer/platform_check.php ( 0.90 KB )
  5. /yingpanguazai/ssd/ssd1/www/a.460.net.cn/vendor/composer/ClassLoader.php ( 14.03 KB )
  6. /yingpanguazai/ssd/ssd1/www/a.460.net.cn/vendor/composer/autoload_static.php ( 4.90 KB )
  7. /yingpanguazai/ssd/ssd1/www/a.460.net.cn/vendor/topthink/think-helper/src/helper.php ( 8.34 KB )
  8. /yingpanguazai/ssd/ssd1/www/a.460.net.cn/vendor/topthink/think-validate/src/helper.php ( 2.19 KB )
  9. /yingpanguazai/ssd/ssd1/www/a.460.net.cn/vendor/topthink/think-orm/src/helper.php ( 1.47 KB )
  10. /yingpanguazai/ssd/ssd1/www/a.460.net.cn/vendor/topthink/think-orm/stubs/load_stubs.php ( 0.16 KB )
  11. /yingpanguazai/ssd/ssd1/www/a.460.net.cn/vendor/topthink/framework/src/think/Exception.php ( 1.69 KB )
  12. /yingpanguazai/ssd/ssd1/www/a.460.net.cn/vendor/topthink/think-container/src/Facade.php ( 2.71 KB )
  13. /yingpanguazai/ssd/ssd1/www/a.460.net.cn/vendor/symfony/deprecation-contracts/function.php ( 0.99 KB )
  14. /yingpanguazai/ssd/ssd1/www/a.460.net.cn/vendor/symfony/polyfill-mbstring/bootstrap.php ( 8.26 KB )
  15. /yingpanguazai/ssd/ssd1/www/a.460.net.cn/vendor/symfony/polyfill-mbstring/bootstrap80.php ( 9.78 KB )
  16. /yingpanguazai/ssd/ssd1/www/a.460.net.cn/vendor/symfony/var-dumper/Resources/functions/dump.php ( 1.49 KB )
  17. /yingpanguazai/ssd/ssd1/www/a.460.net.cn/vendor/topthink/think-dumper/src/helper.php ( 0.18 KB )
  18. /yingpanguazai/ssd/ssd1/www/a.460.net.cn/vendor/symfony/var-dumper/VarDumper.php ( 4.30 KB )
  19. /yingpanguazai/ssd/ssd1/www/a.460.net.cn/vendor/topthink/framework/src/think/App.php ( 15.30 KB )
  20. /yingpanguazai/ssd/ssd1/www/a.460.net.cn/vendor/topthink/think-container/src/Container.php ( 15.76 KB )
  21. /yingpanguazai/ssd/ssd1/www/a.460.net.cn/vendor/psr/container/src/ContainerInterface.php ( 1.02 KB )
  22. /yingpanguazai/ssd/ssd1/www/a.460.net.cn/app/provider.php ( 0.19 KB )
  23. /yingpanguazai/ssd/ssd1/www/a.460.net.cn/vendor/topthink/framework/src/think/Http.php ( 6.04 KB )
  24. /yingpanguazai/ssd/ssd1/www/a.460.net.cn/vendor/topthink/think-helper/src/helper/Str.php ( 7.29 KB )
  25. /yingpanguazai/ssd/ssd1/www/a.460.net.cn/vendor/topthink/framework/src/think/Env.php ( 4.68 KB )
  26. /yingpanguazai/ssd/ssd1/www/a.460.net.cn/app/common.php ( 0.03 KB )
  27. /yingpanguazai/ssd/ssd1/www/a.460.net.cn/vendor/topthink/framework/src/helper.php ( 18.78 KB )
  28. /yingpanguazai/ssd/ssd1/www/a.460.net.cn/vendor/topthink/framework/src/think/Config.php ( 5.54 KB )
  29. /yingpanguazai/ssd/ssd1/www/a.460.net.cn/config/app.php ( 0.95 KB )
  30. /yingpanguazai/ssd/ssd1/www/a.460.net.cn/config/cache.php ( 0.78 KB )
  31. /yingpanguazai/ssd/ssd1/www/a.460.net.cn/config/console.php ( 0.23 KB )
  32. /yingpanguazai/ssd/ssd1/www/a.460.net.cn/config/cookie.php ( 0.56 KB )
  33. /yingpanguazai/ssd/ssd1/www/a.460.net.cn/config/database.php ( 2.48 KB )
  34. /yingpanguazai/ssd/ssd1/www/a.460.net.cn/vendor/topthink/framework/src/think/facade/Env.php ( 1.67 KB )
  35. /yingpanguazai/ssd/ssd1/www/a.460.net.cn/config/filesystem.php ( 0.61 KB )
  36. /yingpanguazai/ssd/ssd1/www/a.460.net.cn/config/lang.php ( 0.91 KB )
  37. /yingpanguazai/ssd/ssd1/www/a.460.net.cn/config/log.php ( 1.35 KB )
  38. /yingpanguazai/ssd/ssd1/www/a.460.net.cn/config/middleware.php ( 0.19 KB )
  39. /yingpanguazai/ssd/ssd1/www/a.460.net.cn/config/route.php ( 1.89 KB )
  40. /yingpanguazai/ssd/ssd1/www/a.460.net.cn/config/session.php ( 0.57 KB )
  41. /yingpanguazai/ssd/ssd1/www/a.460.net.cn/config/trace.php ( 0.34 KB )
  42. /yingpanguazai/ssd/ssd1/www/a.460.net.cn/config/view.php ( 0.82 KB )
  43. /yingpanguazai/ssd/ssd1/www/a.460.net.cn/app/event.php ( 0.25 KB )
  44. /yingpanguazai/ssd/ssd1/www/a.460.net.cn/vendor/topthink/framework/src/think/Event.php ( 7.67 KB )
  45. /yingpanguazai/ssd/ssd1/www/a.460.net.cn/app/service.php ( 0.13 KB )
  46. /yingpanguazai/ssd/ssd1/www/a.460.net.cn/app/AppService.php ( 0.26 KB )
  47. /yingpanguazai/ssd/ssd1/www/a.460.net.cn/vendor/topthink/framework/src/think/Service.php ( 1.64 KB )
  48. /yingpanguazai/ssd/ssd1/www/a.460.net.cn/vendor/topthink/framework/src/think/Lang.php ( 7.35 KB )
  49. /yingpanguazai/ssd/ssd1/www/a.460.net.cn/vendor/topthink/framework/src/lang/zh-cn.php ( 13.70 KB )
  50. /yingpanguazai/ssd/ssd1/www/a.460.net.cn/vendor/topthink/framework/src/think/initializer/Error.php ( 3.31 KB )
  51. /yingpanguazai/ssd/ssd1/www/a.460.net.cn/vendor/topthink/framework/src/think/initializer/RegisterService.php ( 1.33 KB )
  52. /yingpanguazai/ssd/ssd1/www/a.460.net.cn/vendor/services.php ( 0.14 KB )
  53. /yingpanguazai/ssd/ssd1/www/a.460.net.cn/vendor/topthink/framework/src/think/service/PaginatorService.php ( 1.52 KB )
  54. /yingpanguazai/ssd/ssd1/www/a.460.net.cn/vendor/topthink/framework/src/think/service/ValidateService.php ( 0.99 KB )
  55. /yingpanguazai/ssd/ssd1/www/a.460.net.cn/vendor/topthink/framework/src/think/service/ModelService.php ( 2.04 KB )
  56. /yingpanguazai/ssd/ssd1/www/a.460.net.cn/vendor/topthink/think-trace/src/Service.php ( 0.77 KB )
  57. /yingpanguazai/ssd/ssd1/www/a.460.net.cn/vendor/topthink/framework/src/think/Middleware.php ( 6.72 KB )
  58. /yingpanguazai/ssd/ssd1/www/a.460.net.cn/vendor/topthink/framework/src/think/initializer/BootService.php ( 0.77 KB )
  59. /yingpanguazai/ssd/ssd1/www/a.460.net.cn/vendor/topthink/think-orm/src/Paginator.php ( 11.86 KB )
  60. /yingpanguazai/ssd/ssd1/www/a.460.net.cn/vendor/topthink/think-validate/src/Validate.php ( 63.20 KB )
  61. /yingpanguazai/ssd/ssd1/www/a.460.net.cn/vendor/topthink/think-orm/src/Model.php ( 23.55 KB )
  62. /yingpanguazai/ssd/ssd1/www/a.460.net.cn/vendor/topthink/think-orm/src/model/concern/Attribute.php ( 21.05 KB )
  63. /yingpanguazai/ssd/ssd1/www/a.460.net.cn/vendor/topthink/think-orm/src/model/concern/AutoWriteData.php ( 4.21 KB )
  64. /yingpanguazai/ssd/ssd1/www/a.460.net.cn/vendor/topthink/think-orm/src/model/concern/Conversion.php ( 6.44 KB )
  65. /yingpanguazai/ssd/ssd1/www/a.460.net.cn/vendor/topthink/think-orm/src/model/concern/DbConnect.php ( 5.16 KB )
  66. /yingpanguazai/ssd/ssd1/www/a.460.net.cn/vendor/topthink/think-orm/src/model/concern/ModelEvent.php ( 2.33 KB )
  67. /yingpanguazai/ssd/ssd1/www/a.460.net.cn/vendor/topthink/think-orm/src/model/concern/RelationShip.php ( 28.29 KB )
  68. /yingpanguazai/ssd/ssd1/www/a.460.net.cn/vendor/topthink/think-helper/src/contract/Arrayable.php ( 0.09 KB )
  69. /yingpanguazai/ssd/ssd1/www/a.460.net.cn/vendor/topthink/think-helper/src/contract/Jsonable.php ( 0.13 KB )
  70. /yingpanguazai/ssd/ssd1/www/a.460.net.cn/vendor/topthink/think-orm/src/model/contract/Modelable.php ( 0.09 KB )
  71. /yingpanguazai/ssd/ssd1/www/a.460.net.cn/vendor/topthink/framework/src/think/Db.php ( 2.88 KB )
  72. /yingpanguazai/ssd/ssd1/www/a.460.net.cn/vendor/topthink/think-orm/src/DbManager.php ( 8.52 KB )
  73. /yingpanguazai/ssd/ssd1/www/a.460.net.cn/vendor/topthink/framework/src/think/Log.php ( 6.28 KB )
  74. /yingpanguazai/ssd/ssd1/www/a.460.net.cn/vendor/topthink/framework/src/think/Manager.php ( 3.92 KB )
  75. /yingpanguazai/ssd/ssd1/www/a.460.net.cn/vendor/psr/log/src/LoggerTrait.php ( 2.69 KB )
  76. /yingpanguazai/ssd/ssd1/www/a.460.net.cn/vendor/psr/log/src/LoggerInterface.php ( 2.71 KB )
  77. /yingpanguazai/ssd/ssd1/www/a.460.net.cn/vendor/topthink/framework/src/think/Cache.php ( 4.92 KB )
  78. /yingpanguazai/ssd/ssd1/www/a.460.net.cn/vendor/psr/simple-cache/src/CacheInterface.php ( 4.71 KB )
  79. /yingpanguazai/ssd/ssd1/www/a.460.net.cn/vendor/topthink/think-helper/src/helper/Arr.php ( 16.63 KB )
  80. /yingpanguazai/ssd/ssd1/www/a.460.net.cn/vendor/topthink/framework/src/think/cache/driver/File.php ( 7.84 KB )
  81. /yingpanguazai/ssd/ssd1/www/a.460.net.cn/vendor/topthink/framework/src/think/cache/Driver.php ( 9.03 KB )
  82. /yingpanguazai/ssd/ssd1/www/a.460.net.cn/vendor/topthink/framework/src/think/contract/CacheHandlerInterface.php ( 1.99 KB )
  83. /yingpanguazai/ssd/ssd1/www/a.460.net.cn/app/Request.php ( 0.09 KB )
  84. /yingpanguazai/ssd/ssd1/www/a.460.net.cn/vendor/topthink/framework/src/think/Request.php ( 55.78 KB )
  85. /yingpanguazai/ssd/ssd1/www/a.460.net.cn/app/middleware.php ( 0.25 KB )
  86. /yingpanguazai/ssd/ssd1/www/a.460.net.cn/vendor/topthink/framework/src/think/Pipeline.php ( 2.61 KB )
  87. /yingpanguazai/ssd/ssd1/www/a.460.net.cn/vendor/topthink/think-trace/src/TraceDebug.php ( 3.40 KB )
  88. /yingpanguazai/ssd/ssd1/www/a.460.net.cn/vendor/topthink/framework/src/think/middleware/SessionInit.php ( 1.94 KB )
  89. /yingpanguazai/ssd/ssd1/www/a.460.net.cn/vendor/topthink/framework/src/think/Session.php ( 1.80 KB )
  90. /yingpanguazai/ssd/ssd1/www/a.460.net.cn/vendor/topthink/framework/src/think/session/driver/File.php ( 6.27 KB )
  91. /yingpanguazai/ssd/ssd1/www/a.460.net.cn/vendor/topthink/framework/src/think/contract/SessionHandlerInterface.php ( 0.87 KB )
  92. /yingpanguazai/ssd/ssd1/www/a.460.net.cn/vendor/topthink/framework/src/think/session/Store.php ( 7.12 KB )
  93. /yingpanguazai/ssd/ssd1/www/a.460.net.cn/vendor/topthink/framework/src/think/Route.php ( 23.73 KB )
  94. /yingpanguazai/ssd/ssd1/www/a.460.net.cn/vendor/topthink/framework/src/think/route/RuleName.php ( 5.75 KB )
  95. /yingpanguazai/ssd/ssd1/www/a.460.net.cn/vendor/topthink/framework/src/think/route/Domain.php ( 2.53 KB )
  96. /yingpanguazai/ssd/ssd1/www/a.460.net.cn/vendor/topthink/framework/src/think/route/RuleGroup.php ( 22.43 KB )
  97. /yingpanguazai/ssd/ssd1/www/a.460.net.cn/vendor/topthink/framework/src/think/route/Rule.php ( 26.95 KB )
  98. /yingpanguazai/ssd/ssd1/www/a.460.net.cn/vendor/topthink/framework/src/think/route/RuleItem.php ( 9.78 KB )
  99. /yingpanguazai/ssd/ssd1/www/a.460.net.cn/route/app.php ( 1.72 KB )
  100. /yingpanguazai/ssd/ssd1/www/a.460.net.cn/vendor/topthink/framework/src/think/facade/Route.php ( 4.70 KB )
  101. /yingpanguazai/ssd/ssd1/www/a.460.net.cn/vendor/topthink/framework/src/think/route/dispatch/Controller.php ( 4.74 KB )
  102. /yingpanguazai/ssd/ssd1/www/a.460.net.cn/vendor/topthink/framework/src/think/route/Dispatch.php ( 10.44 KB )
  103. /yingpanguazai/ssd/ssd1/www/a.460.net.cn/app/controller/Index.php ( 4.81 KB )
  104. /yingpanguazai/ssd/ssd1/www/a.460.net.cn/app/BaseController.php ( 2.05 KB )
  105. /yingpanguazai/ssd/ssd1/www/a.460.net.cn/vendor/topthink/think-orm/src/facade/Db.php ( 0.93 KB )
  106. /yingpanguazai/ssd/ssd1/www/a.460.net.cn/vendor/topthink/think-orm/src/db/connector/Mysql.php ( 5.44 KB )
  107. /yingpanguazai/ssd/ssd1/www/a.460.net.cn/vendor/topthink/think-orm/src/db/PDOConnection.php ( 52.47 KB )
  108. /yingpanguazai/ssd/ssd1/www/a.460.net.cn/vendor/topthink/think-orm/src/db/Connection.php ( 8.39 KB )
  109. /yingpanguazai/ssd/ssd1/www/a.460.net.cn/vendor/topthink/think-orm/src/db/ConnectionInterface.php ( 4.57 KB )
  110. /yingpanguazai/ssd/ssd1/www/a.460.net.cn/vendor/topthink/think-orm/src/db/builder/Mysql.php ( 16.58 KB )
  111. /yingpanguazai/ssd/ssd1/www/a.460.net.cn/vendor/topthink/think-orm/src/db/Builder.php ( 24.06 KB )
  112. /yingpanguazai/ssd/ssd1/www/a.460.net.cn/vendor/topthink/think-orm/src/db/BaseBuilder.php ( 27.50 KB )
  113. /yingpanguazai/ssd/ssd1/www/a.460.net.cn/vendor/topthink/think-orm/src/db/Query.php ( 15.71 KB )
  114. /yingpanguazai/ssd/ssd1/www/a.460.net.cn/vendor/topthink/think-orm/src/db/BaseQuery.php ( 45.13 KB )
  115. /yingpanguazai/ssd/ssd1/www/a.460.net.cn/vendor/topthink/think-orm/src/db/concern/TimeFieldQuery.php ( 7.43 KB )
  116. /yingpanguazai/ssd/ssd1/www/a.460.net.cn/vendor/topthink/think-orm/src/db/concern/AggregateQuery.php ( 3.26 KB )
  117. /yingpanguazai/ssd/ssd1/www/a.460.net.cn/vendor/topthink/think-orm/src/db/concern/ModelRelationQuery.php ( 20.07 KB )
  118. /yingpanguazai/ssd/ssd1/www/a.460.net.cn/vendor/topthink/think-orm/src/db/concern/ParamsBind.php ( 3.66 KB )
  119. /yingpanguazai/ssd/ssd1/www/a.460.net.cn/vendor/topthink/think-orm/src/db/concern/ResultOperation.php ( 7.01 KB )
  120. /yingpanguazai/ssd/ssd1/www/a.460.net.cn/vendor/topthink/think-orm/src/db/concern/WhereQuery.php ( 19.37 KB )
  121. /yingpanguazai/ssd/ssd1/www/a.460.net.cn/vendor/topthink/think-orm/src/db/concern/JoinAndViewQuery.php ( 7.11 KB )
  122. /yingpanguazai/ssd/ssd1/www/a.460.net.cn/vendor/topthink/think-orm/src/db/concern/TableFieldInfo.php ( 2.63 KB )
  123. /yingpanguazai/ssd/ssd1/www/a.460.net.cn/vendor/topthink/think-orm/src/db/concern/Transaction.php ( 2.77 KB )
  124. /yingpanguazai/ssd/ssd1/www/a.460.net.cn/vendor/topthink/framework/src/think/log/driver/File.php ( 5.96 KB )
  125. /yingpanguazai/ssd/ssd1/www/a.460.net.cn/vendor/topthink/framework/src/think/contract/LogHandlerInterface.php ( 0.86 KB )
  126. /yingpanguazai/ssd/ssd1/www/a.460.net.cn/vendor/topthink/framework/src/think/log/Channel.php ( 3.89 KB )
  127. /yingpanguazai/ssd/ssd1/www/a.460.net.cn/vendor/topthink/framework/src/think/event/LogRecord.php ( 1.02 KB )
  128. /yingpanguazai/ssd/ssd1/www/a.460.net.cn/vendor/topthink/think-helper/src/Collection.php ( 16.47 KB )
  129. /yingpanguazai/ssd/ssd1/www/a.460.net.cn/vendor/topthink/framework/src/think/facade/View.php ( 1.70 KB )
  130. /yingpanguazai/ssd/ssd1/www/a.460.net.cn/vendor/topthink/framework/src/think/View.php ( 4.39 KB )
  131. /yingpanguazai/ssd/ssd1/www/a.460.net.cn/vendor/topthink/framework/src/think/Response.php ( 8.81 KB )
  132. /yingpanguazai/ssd/ssd1/www/a.460.net.cn/vendor/topthink/framework/src/think/response/View.php ( 3.29 KB )
  133. /yingpanguazai/ssd/ssd1/www/a.460.net.cn/vendor/topthink/framework/src/think/Cookie.php ( 6.06 KB )
  134. /yingpanguazai/ssd/ssd1/www/a.460.net.cn/vendor/topthink/think-view/src/Think.php ( 8.38 KB )
  135. /yingpanguazai/ssd/ssd1/www/a.460.net.cn/vendor/topthink/framework/src/think/contract/TemplateHandlerInterface.php ( 1.60 KB )
  136. /yingpanguazai/ssd/ssd1/www/a.460.net.cn/vendor/topthink/think-template/src/Template.php ( 46.61 KB )
  137. /yingpanguazai/ssd/ssd1/www/a.460.net.cn/vendor/topthink/think-template/src/template/driver/File.php ( 2.41 KB )
  138. /yingpanguazai/ssd/ssd1/www/a.460.net.cn/vendor/topthink/think-template/src/template/contract/DriverInterface.php ( 0.86 KB )
  139. /yingpanguazai/ssd/ssd1/www/a.460.net.cn/runtime/temp/80ec142d437acc197a4b556a08c383fc.php ( 11.98 KB )
  140. /yingpanguazai/ssd/ssd1/www/a.460.net.cn/vendor/topthink/think-trace/src/Html.php ( 4.42 KB )
  1. CONNECT:[ UseTime:0.000609s ] mysql:host=127.0.0.1;port=3306;dbname=aa460;charset=utf8mb4
  2. SHOW FULL COLUMNS FROM `fenlei` [ RunTime:0.000589s ]
  3. SELECT * FROM `fenlei` WHERE `fid` = 0 [ RunTime:0.015637s ]
  4. SELECT * FROM `fenlei` WHERE `fid` = 63 [ RunTime:0.032146s ]
  5. SHOW FULL COLUMNS FROM `set` [ RunTime:0.000597s ]
  6. SELECT * FROM `set` [ RunTime:0.025043s ]
  7. SHOW FULL COLUMNS FROM `article` [ RunTime:0.000646s ]
  8. SELECT * FROM `article` WHERE `id` = 493638 LIMIT 1 [ RunTime:0.030183s ]
  9. UPDATE `article` SET `lasttime` = 1775059072 WHERE `id` = 493638 [ RunTime:0.083016s ]
  10. SELECT * FROM `fenlei` WHERE `id` = 64 LIMIT 1 [ RunTime:0.007004s ]
  11. SELECT * FROM `article` WHERE `id` < 493638 ORDER BY `id` DESC LIMIT 1 [ RunTime:0.003552s ]
  12. SELECT * FROM `article` WHERE `id` > 493638 ORDER BY `id` ASC LIMIT 1 [ RunTime:0.000497s ]
  13. SELECT * FROM `article` WHERE `id` < 493638 ORDER BY `id` DESC LIMIT 10 [ RunTime:0.000805s ]
  14. SELECT * FROM `article` WHERE `id` < 493638 ORDER BY `id` DESC LIMIT 10,10 [ RunTime:0.001318s ]
  15. SELECT * FROM `article` WHERE `id` < 493638 ORDER BY `id` DESC LIMIT 20,10 [ RunTime:0.002828s ]
0.347042s