
点击蓝字 关注我们


导语

【🔥 顶刊套路解析:一篇“指标重混+轨迹追踪”的10.6分文章,是如何炼成的?】
今天给大家拆解一篇刚刚发表在《Cardiovascular Diabetology》(IF 10.6)上的双一区文章,用的还是咱们的老朋友——CHARLS数据库。这篇文章研究的,是血脂和肥胖怎么“联手”催生心血管病。路子特别清晰,咱们一起来学!📚
它干了这么几件事:1️⃣ 指标“二合一”:把“动脉粥样硬化指数”(AIP)和五种肥胖指标(腰围、内脏脂肪指数等)分别配对,创造出好几个复合指标。2️⃣ 轨迹追踪:利用CHARLS的长期随访数据,不只看数值高低,更用轨迹模型分析这些指标连续几年的变化模式。3️⃣ 锁定“王者组合”:结果发现,AIP + 中国内脏脂肪指数(CVAI) 这个配对,预测风险尤其准!而且长期处于高轨迹的人群,风险显著更高📈。
看到这里,老粉可能会想起来:我们之前解读过好几篇同样基于CHARLS、同样围绕“指数”做文章的研究——有用甘油三酯葡萄糖指数+腰围看糖尿病风险的,也有用炎症指标轨迹预测中风的。它们能成功,真的不是偶然!
CHARLS这个库之所以能被反复“榨出”高分文章,核心就在于它特别适合回答“病是怎么慢慢发展起来的”这类问题。它不像一张“集体照”,而是一部跟踪拍摄中国中老年人群的“健康纪录片”🎬。在这里,你能清清楚楚地看到血糖、血脂这些数字,是怎么一年年变化,最终把一些人推向疾病的。
这种能看到“过程”和“趋势”的能力,才是它最大的宝藏!
如果你手上正在用(或考虑用)CHARLS,完全可以直接借鉴这个已经跑通的顶刊模式:
抓住核心:利用“纵向追踪”这个独家优势;
对准问题:研究一个慢性病的发生发展过程;
组合出拳:通过 “指数创新组合” + “动态轨迹分析” ,把一个扎实的临床故事讲透。
如果大家在分析了自己手头的数据后,对这个模式感兴趣,但在具体怎么设计指标组合、怎么写分析代码、怎么呈现轨迹结果这些实操环节上卡住了——别慌!这正是我们可以帮到你的地方!
👇 欢迎在评论区留下你的专业方向或疾病领域,我们一起看看,怎么把你的数据变成下一篇“指标+轨迹”的高分文章!
时间不等人,好思路更不等人。行动起来,下一个发顶刊的可能就是你! 💪


影响因子:10.6

研究背景
【🌍 研究背景:心血管防控亟待动态、联合评估】
心血管疾病(CVD) 是全球首要死因,2022年相关死亡高达 1980万,疾病负担持续加重 ⚠️。代谢因素(动脉粥样硬化、肥胖)是CVD的主要驱动因素,占 人群归因风险的41.2% 📊。
血浆动脉粥样硬化指数(AIP)(基于TG与HDL-C计算)及肥胖指数(BMI、腰围、CVAI等)均为经济有效的CVD风险评估指标。然而,现有研究大多独立分析两者,缺乏对联合指标及其长期累积变化的动态评估,且糖尿病状态对该关联的修饰作用尚不明确🔍。
因此,整合血脂与肥胖指标、评估其累积长期效应,已成为优化CVD风险分层与防控策略的迫切需求。

图1联合流程图

研究方法
【🔬 研究方法:全国性前瞻队列动态分析】
本研究依托 中国健康与退休纵向研究(CHARLS) 这一全国性前瞻队列,筛选 基线无心血管疾病 且在第1波(2011‑2012年)和第3波(2015年)均具有完整血脂与人体测量数据的 4,519名中老年人,通过第4‑5波(至2020年)随访识别新发心血管事件,中位随访时间达8年📊。
暴露指标包括:🔹 血浆致动脉粥样硬化指数:AIP = log₁₀(甘油三酯/高密度脂蛋白胆固醇)🔹 AIP‑肥胖衍生物:AIP分别与 BMI、腰围、腰高比、体圆度指数、中国内脏脂肪指数(CVAI) 相乘生成🔹 累积暴露量:综合两波数据计算各指标的平均水平与时间间隔的乘积🔹 控制水平轨迹:采用 k‑means聚类 将参与者分为 “良好控制”“中等控制”“差控制” 三类
统计分析采用:✅ 多模型逐步Logistic回归 评估关联✅ 限制性立方样条 检验剂量‑反应关系✅ 分层分析 探讨糖尿病亚组差异✅ 加权分位数和回归 量化组分贡献✅ 中介分析 评估HbA1c的中介作用
研究同时进行了排除早期事件、多重填补、调整用药、竞争风险模型等敏感性分析,确保结果稳健✅。所有分析在 R软件 中完成。

图2 2012年至2015年间AIP、AIP-BMI、AIP-WC、AIP-WHtR、AIP-BRI和AIP-CVAI变化的聚类

主要结果
1.【📊参与者基线及累积特征】
在中位 8年随访 期间,4519名参与者 中新增 543例CVD(含189例卒中)。CVD组基线特征表现为:年龄更大、体重更高、多种肥胖指标(BMI/WC/WHtR/BRI/CVAI)更高,且 女性比例更高、教育程度更低、合并高血压/糖尿病更多、代谢指标更差📈。
在累积暴露方面,CVD组 AIP及其肥胖衍生物的累积暴露水平 显著更高,其中 累积AIP-CVAI的组间标准化差异最大(22%)。在控制水平上,CVD组对 AIP-BRI和AIP-CVAI的控制更差,不良控制比例差异尤为显著⚠️。

表1 基线特征和按心血管疾病发作状态分层的累积代谢变化
2.【📈基线联合指标与CVD风险的关联】
基线AIP及其肥胖相关衍生物 在所有模型中均与CVD风险呈显著正相关 📊。在多变量调整模型中:
✅ 相比单独的 AIP(OR=1.11),整合肥胖指标的AIP衍生物 与CVD关联更强;🔝 其中 AIP-BRI 与 AIP-CVAI 的关联最高(每SD增加OR均为1.15)。
基于三分位数的分析进一步证实:高水平的AIP衍生物(尤其AIP-CVAI) 比单独高AIP具有更强的CVD风险预测价值。
对次要结局(卒中)的分析显示,AIP及其衍生物与卒中的关联强度甚至高于总体CVD,提示这些指标对卒中风险可能具有更突出的预警意义 ⚠️。

表2 基线AIP及其肥胖相关衍生物与心血管疾病事件的关联
3.【📈 指标累积变化及控制水平与CVD风险关联】
AIP及其肥胖衍生物的累积变化 均与CVD风险呈显著正相关 📊。在最终模型中:
✅ 相比 累积AIP单独作用(OR=1.13),累积AIP衍生物 关联更强;🔝 其中 累积AIP-BRI(OR=1.18)与累积AIP-CVAI(OR=1.17) 的预测价值最高。
控制水平分析 显示:与Ⅰ类(良好控制)相比,处于 Ⅲ类(差控制) 的参与者CVD风险显著升高,其中 AIP-CVAI的Ⅲ类控制使风险增加51%(OR=1.51) ⚠️。
对次要结局(卒中)的分析一致显示,累积AIP衍生物的关联强度高于单独累积AIP,且与卒中的关联 强于总体CVD,进一步提示其对卒中风险的突出预警意义。

表3 AIP累积变化与其肥胖相关衍生物与心血管疾病事件的关联
4.【📊、剂量-反应关系呈现线性趋势】
AIP及其肥胖相关衍生物 的 基线水平 与 累积暴露量 均与CVD风险呈 显著线性关联(非线性P>0.05)📈。该结果提示,这些指标的 风险效应随暴露水平持续递增,无明显阈值,进一步支持其作为连续监测指标用于CVD风险预警的临床应用价值 ✅。

图3 基线/累积AIP与其肥胖相关衍生物与受限立方样本的剂量-反应关系
5.【📊 亚组分析:糖尿病显著放大风险】
亚组分析显示,AIP及其肥胖衍生物的累积暴露量 与特定亚组CVD风险显著相关 🔍:
男性、无肾脏疾病、不饮酒 人群中对部分指标敏感;
⚠️ 糖尿病患者对所有指标均显著相关,且糖尿病状态是显著的交互因素(交互P<0.05)。
在糖尿病患者中,累积AIP衍生物相关的CVD风险是非糖尿病患者的1.41-1.50倍。值得注意的是,糖尿病亚组中指标控制良好者仍对CVD具有保护关联,提示在糖尿病人群中严格管理血脂-肥胖指标具有重要临床意义 ✅。

表4 AIP累计暴露与其肥胖相关衍生物与心血管疾病事件关联的亚组分析
6.【📊 主要风险驱动因素:累积TG与肥胖】
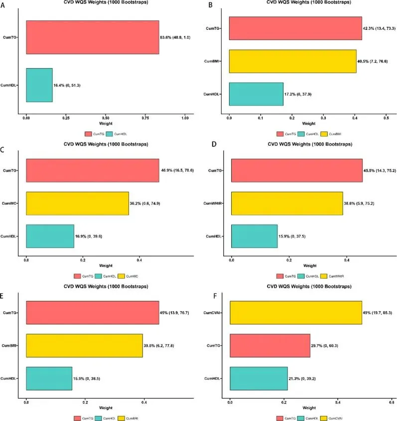
通过加权分位数和回归分析发现,在AIP及其肥胖衍生物的累积变化中,累积甘油三酯(TG)和累积肥胖指数 对CVD风险的 相对贡献权重最高 📈。
这提示,长期持续暴露于高TG和肥胖状态 是推升CVD风险的核心驱动因素,为针对性干预提供了关键方向 🎯。

图4 过加权分位和回归,累计肥胖指数、累计HDL-C和综合TG对心血管疾病风险的相对权重
7.【🔄 中介机制:累积HbA1c解释约11%效应】
中介分析表明,累积糖化血红蛋白(HbA1c) 在 AIP及其肥胖衍生物的累积变化 与CVD风险之间的关联中,起 显著中介作用(所有中介比例P<0.05)🔗。
总体上,累积HbA1c解释了约11%的效应,提示长期血糖控制状态是该风险通路的重要中间环节 📉。

表5 对累积血红蛋白A1c对累积AIP(及其肥胖相关衍生物)与心血管疾病关联影响的介导分析

文章小结
【🎯 文章核心结论】
本研究证实:AIP及其肥胖相关衍生物(尤其AIP-CVAI)的累积变化 与CVD风险呈 显著正相关 📈,且 糖尿病状态会显著增强该关联 ⚠️。
这表明,动态监测动脉粥样硬化与肥胖联合指标,能为CVD风险分层提供优于传统单次检测的新策略,具有重要临床转化价值 ✅。
立即行动,把握CHARLS数据库的发文红利期!
还在为挖掘FAERS、MIMIC、CHARLS等热门公共数据库发愁?想零基础快速掌握数据分析全流程,轻松冲击SCI?
🔥 六大实战课程全面开放:FAERS·NAHNES·MIMIC·CHARLS·GBD·CLHLS覆盖药物安全、临床重症、老龄健康、疾病负担等主流科研方向!
✨ 课程四大亮点:✅ 一对一指导:从选题→方案→数据→分析全程陪伴✅ 零基础友好:从数据注册下载教起,小白也能轻松入门✅ 顶刊级复现:基于高分文献案例拆解,对标SCI发文标准✅ 直播互动教学:手把手带练,即问即答,问题不过夜
🎁 限时团购福利:👉 三人拼团直减100元👉 前50名赠送「SCI图表美化模板库」👉 报名即得六大数据库标准操作手册
⏰ 开售时间:2025年12月25日抢占席位,提升科研竞争力!私信咨询,立即锁定优惠 🚀


往期阅读
点击阅读原文