
点击蓝字 关注我们


导语

血浆致动脉粥样硬化指数(AIP)和肥胖是心血管疾病(CVD)的经典危险因素,但单一指标的评估效能有限,且糖尿病与二者并存时的协同风险机制尚未明确。
针对这一研究空白,南昌大学团队基于CHARLS数据库,创新性地将AIP与BMI、内脏脂肪指数等肥胖指标结合构建新型衍生物指标,首次系统探究其累积变化与CVD发病风险的关联,并明确了糖尿病在该关联中的关键修饰作用。该研究为CVD精准风险分层提供了全新的高效评估指标。

影响因子:10.6

研究背景
心血管疾病(CVD)位居全球首位死因,我国中老年人群患病率持续攀升,早期高风险人群识别已成为防控关键。血浆致动脉粥样硬化指数(AIP)反映动脉粥样硬化程度,而肥胖可加速动脉粥样硬化进展,二者均与CVD密切相关。
然而,当前研究存在明显局限:现有研究多单独评估AIP或肥胖的效应,缺乏对二者联合效应的系统探索,且未考虑糖尿病在其间的修饰作用;与此同时,传统基线单点测量难以反映长期代谢状态,指标累积变化的CVD预测价值亟待验证。


研究方法
本研究通过严谨的设计流程,系统探究了AIP-肥胖复合指标与CVD的关联:
1. 研究队列与数据来源纳入CHARLS数据库2011-2015年4519名中老年人,中位随访8年,记录2018-2020年新发CVD事件(含心脏病、卒中,卒中为次要结局)。
2. 指标构建与分组
计算AIP及AIP-BMI、AIP-WC、AIP-CVAI等6类肥胖相关衍生物
采用k-means聚类将指标控制水平划分为良好、中等、较差三类
3. 关联分析与验证
运用多因素Logistic回归分析指标与CVD的关联
限制性立方样条验证剂量-反应关系
按年龄、性别、糖尿病状态等进行亚组分析,明确交互作用
4. 机制深度探究
采用加权分位数和(WQS)回归量化各组分对CVD风险的贡献
通过中介分析探究HbA1c在关联中的介导作用
图1:CONSORT流程图

主要结果
1.高风险人群特征:CVD新发病例代谢指标基线差、累积暴露高
随访期间共新发CVD 543例(12.02%)。与低风险人群相比,高风险人群呈现显著的代谢风险特征:年龄更大、肥胖指标更高,高血压/糖尿病患病率更高;且AIP及其衍生物的基线水平、累积暴露量均显著更高,指标控制水平更差。这一发现为早期识别CVD高危个体提供了明确的人群画像。

表1:基线特征及按心血管疾病发发状态分层的累积代谢变化
2.衍生物效能更优:AIP-肥胖复合指标预测能力显著提升
AIP及其肥胖相关衍生物基线水平均与CVD呈正相关,其中AIP-BRI、AIP-CVAI预测效能最优(OR=1.15),显著高于单独AIP的预测效能(OR=1.11)。值得注意的是,这些复合指标与卒中的关联强度高于整体CVD,提示其在脑血管事件风险评估中具有更高的应用价值。

表2:基线AIP与其肥胖相关衍生物与心血管疾病事件的关联

图2:2012年至2015年间AIP、AIP-BMI、AIP-WC、AIP-WHtR、AIP-BRI和AIP-CVAI变化的聚类
3.累积变化价值显著:长期暴露与控制水平共同影响CVD风险

表3:AIP累计变化与其肥胖相关衍生物与心血管疾病事件的关联

图3:基线/累积AIP与其肥胖相关衍生物与受限立方样本的剂量-反应关系
4.糖尿病为关键修饰因素:风险关联强度倍增,控制指标可获益

表4:AIP累计暴露与其肥胖相关衍生物与心血管疾病事件关联的亚组分析
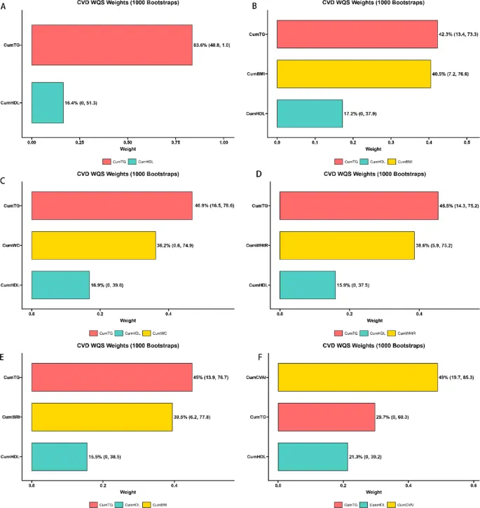
5.核心机制明确:血脂-肥胖-血糖三重通路揭示CVD发病链条

图4:通过加权分位和回归,累计肥胖指数、累计HDL-C和累计TG的相对权重对心血管疾病风险有贡献

表5 :中介分析:累积血红蛋白A1c对累积AIP(及其肥胖相关衍生物)与心血管疾病关联的影响

文章小结
本研究首次明确ANPEP是连接阿斯巴甜暴露与代谢相关脂肪性肝病(MAFLD)的核心介导因子。机制研究发现,阿斯巴甜具有显著肝毒性,可与ANPEP稳定结合,诱导其在肝髓系细胞中高表达,进而通过调控炎症、脂质代谢及纤维化通路促进MAFLD进展。ANPEP不仅可作为MAFLD潜在诊断标志物,且与MAFLD存在因果关联。
如果你也想借CHARLS等公共数据库发高分SCI,欢迎关注联系生信我们!
🔧 数据库分析遇到困难?
如果你在CHARLS等数据库的选题、思路设计或具体分析上遇到瓶颈,小编带领的专业团队随时可以提供支持:✅ 选题可行性评估✅ 创新性思路设计✅ 定制化生信分析
我们拥有十年以上的分析经验,能确保项目成本与周期可控,性价比极高。现在咨询,还可免费领取一次思路评估机会和高性能生信服务器试用名额!机会有限,有需要请立即滴滴我!
立即行动,把握CHARLS数据库的发文红利期!
还在为挖掘FAERS、MIMIC、CHARLS等热门公共数据库发愁?想零基础快速掌握数据分析全流程,轻松冲击SCI?
🔥 六大实战课程全面开放:FAERS·NAHNES·MIMIC·CHARLS·GBD·CLHLS覆盖药物安全、临床重症、老龄健康、疾病负担等主流科研方向!
✨ 课程四大亮点:✅ 一对一指导:从选题→方案→数据→分析全程陪伴✅ 零基础友好:从数据注册下载教起,小白也能轻松入门✅ 顶刊级复现:基于高分文献案例拆解,对标SCI发文标准✅ 直播互动教学:手把手带练,即问即答,问题不过夜
🎁 限时团购福利:👉 三人拼团直减100元👉 前50名赠送「SCI图表美化模板库」👉 报名即得六大数据库标准操作手册
⏰ 开售时间:2025年12月25日抢占席位,提升科研竞争力!私信咨询,立即锁定优惠 🚀


往期阅读
点击阅读原文