高三数学 |江西省南昌市2026届高三下学期三月(一模)测试 2026.3

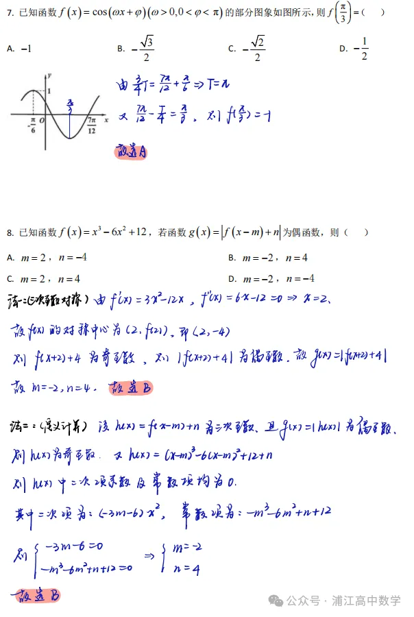
江西省南昌市2026届高三下学期三月(一模)测试数学试卷已发布,包含选择题、填空题和解答题,共20道题目,满分150分。试卷涉及集合、复数、函数、数列、几何等多个知识点,如第8题考查函数奇偶性,第19题结合正方体与抛物线轨迹。
答案已公布,可通过夸克网盘链接下载完整版(含解析)。该试卷延续近年高考命题风格,注重基础与能力结合,建议复习时关注不等式、圆锥曲线等高频考点。接
江西省南昌市2026届高三下学期三月(一模)测试
江西省南昌市2026届高三下学期三月(一模)测试
链接:https://pan.quark.cn/s/ce6e31cfd957
有一种付出叫披星戴月,
有一种使命叫成就未来。
向所有辛勤耕耘在
教学一线的校友们致敬!
日出日落,年轮更替,不变的是一颗爱岗敬业的心;
教师是一个充满魅力的职业,她的魅力就体现为在各种不确定中实现超越,在不断超越中收获幸福,在职业幸福中体现价值。
最爱芦花经雨后,一蓬烟火饭鱼船。
——(宋)林逋《咏秋江》节选
不见昨夜雨湿处,聊以新颜待今朝。
专注于校友寻访| 热心校友请投稿226896316@qq.com
微信公众号 | 翠屏山下2021
扫描二维码 | 关注俺呀
我们留不住这所学校的建制,但在我们每个师范人心里,她都是永恒的;师范精神(爱与奉献)已深深根植于我们的心底,无论在何时何地,我们都深深眷恋这方热土……1972年宁德师范学校复办(宁师曾为全国中师百强校之一,1988年获国家教委嘉奖,2000年改制成普通高中),2022年50周年,致敬所有曾经的中师师生!
发表于福建