点击蓝字↑↑↑关注我们

引言
依托NHANES数据库高效发文,速关注我们,私信解锁专属科研支持!↓↓↓
亮点
🌏首研 CKM 0-3 期人群,填补空白
📌双队列跨域验证,结果可靠
🔍明确 SHR 预后特征,指向精准
📢解析核心介导通路,阐释机制
📍多维度分析 + 机器学习,工具高效
💡发现人群异质性,助力个体化干预
🔔检测便捷成本低,临床转化价值高

研究背景
全球心血管疾病死亡负担沉重,2021 年发病数达 5.23 亿,为 1990 年两倍,是全球首要死因,全因死亡防控需求迫切。
AHA 提出 CKM 综合征概念,心、肾、代谢疾病的病理交互会显著升高心血管不良结局和多器官功能障碍风险,其 0-3 期为临床早筛早治关键阶段,相关预后评估指标缺乏。
SHR 是量化应激下血糖波动的创新指标,已被证实与多种疾病不良预后相关,但在 CKM 综合征 0-3 期人群中,其对全因和心血管死亡的预后价值尚未被充分阐明。
主队列采用 2007-2018 年美国 NHANES 数据库,最终纳入 9647 名 CKM 0-3 期受试者,中位随访 6.8 年;验证队列采用 2011-2020 年中国 CHARLS 数据库,纳入 7525 名同阶段受试者,中位随访 9 年,提取人口学、生化、生存及死亡病因数据。
SHR:按公式SHR=FPG/(1.59×HbA1c−2.59) 计算,同时分为三分位(T1-T3)分析;
CKM 0-3 期:依据 2023 AHA 标准定义各阶段诊断标准;
终点指标:主要为全因死亡,次要为心血管(CVD)死亡,按 ICD-10 分类判定死因。
基础分析:采用加权 t 检验 / 卡方检验比较组间基线特征,校正 NHANES 抽样权重;
关联分析:构建 3 个加权多因素 Cox 回归模型(未校正、基础校正、全校正),分析 SHR 与死亡风险的 HR 及 95% CI;
非线性与阈值分析:通过限制性立方样条(RCS)验证 U 型关联,分段 Cox 回归确定 SHR 对死亡风险的阈值效应;
中介效应分析:采用四向分解法,探究 RDW、白蛋白、RAR 对 SHR 与全因死亡关联的介导作用。
机器学习建模
经 ABESS 和 Boruta 算法筛选核心特征,VIF 检验排除多重共线性后,在训练集(70% 样本)构建 11 种机器学习模型,以十折交叉验证调参,通过 ROC-AUC、DCA 等指标评估模型性能,筛选最优预测模型。
稳健性验证
敏感性分析:进一步校正降糖药、饮食、心理压力等混杂因素,验证结果稳定性;
分层分析:按年龄、性别、吸烟 / 饮酒状态、高血压、CKM 分期分层,分析 SHR 与死亡风险关联的人群异质性;
外部验证:在 CHARLS 队列中重复验证 SHR 与全因死亡的关联及阈值效应。


筛选流程(图 1):从 2007-2018 年 NHANES 数据库 59842 名受试者中,经排除年龄、数据缺失、CKM 4 期等标准后,最终纳入 9647 名 CKM 0-3 期受试者,确保研究样本的有效性。
基线特征(表 1):纳入受试者平均年龄 45.54±0.30 岁,平均 SHR 16.79±0.05,按 SHR 三分位分为 T1 (1.95-15.67)、T2 (15.68-17.30)、T3 (17.31-38.05) 三组,三组间多项指标差异有统计学意义(p<0.05):
T3 组年龄更大、BMI 更高,血尿酸、肌酐、甘油三酯、胰岛素水平显著升高,LDL-C、HDL-C、HbA1c、总胆固醇更低;
社会生活方式与患病情况:T3 组低贫困收入比、非西班牙裔白人、既往饮酒者占比更高,高血压患病率及 CKM 2 期占比显著高于 T1、T2 组。

图1.研究参与者选拔流程图


表1.参与者加权基线特征
全因死亡:SHR 为连续变量时,全校正后每升高 1 单位风险增 9%(HR=1.09,95% CI1.04-1.13,p<0.001);T3 组较 T1 组风险升高 26%(HR=1.26,95% CI1.02-1.55,p=0.03);
CVD 死亡:SHR 无论为连续变量或三分位分组,在所有模型中均无显著关联(全校正后 HR=1.00,95% CI0.91-1.11,p=0.96)。

表2.SHR与死亡风险关联的加权多元Cox回归模型
全因死亡:阈值 17.93,SHR≥17.93 时每升高 1 单位风险增 16%(HR=1.16,95% CI1.11-1.22,p<0.001),<17.93 时无显著关联;
CVD 死亡:阈值 14.02,SHR<14.02 时风险降低(HR=0.77,95% CI0.66-0.89,p=0.001),>14.02 时风险升高(HR=1.07,95% CI1.01-1.15,p=0.04),似然比检验支持分段模型(p=0.002)。

图2.SHR指数及其与死亡率关联的限制三次样条分析

表3.使用两段线性回归模型对SHR对全因及心血管疾病死亡率的阈值效应分析
四向分解法中介分析显示,SHR 与全因死亡的关联部分由三者负向介导,介导效应分别为:
RDW:-17.0%(95%CI-46.7%~-8.7%,p=0.002);
白蛋白:-10.1%(95% CI-23.9%~-4.7%,p<0.001);
RAR:-23.3%(95%CI-49.0%~-13.0%,p<0.001)。

表4.排除无RAR相关数据的参与者后,SHR与全因死亡率关联的中介分析(n=19)
特征筛选(图 3):经 ABESS 和 Boruta 算法筛选出 11 个核心特征(含 SHR),VIF 检验排除多重共线性;
模型性能(图 4):构建 11 种机器学习模型,8 种测试集 AUC 超 0.80,LightGBM 模型最优(AUC=0.863),平均精准度 0.987、准确率 0.940、F1 值 0.969;
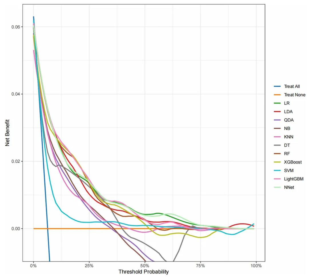
临床有效性(图 5):决策曲线分析(DCA)证实,LightGBM 模型具有显著临床净获益,绝对风险预测准确性高。

图3.在变量选择阶段采用ABESS算法(A)和Boruta算法(B)

图4.训练集和测试集中十个机器学习模型的ROC

图5.DCA在不同风险阈值下展示净收益,比较十个模型
额外校正混杂因素:校正降糖药、饮食、心理压力等后,SHR 与全因死亡仍显著正相关(HR=1.10,95% CI1.05-1.15);
CHARLS 队列外部验证:SHR 与全因死亡正相关(HR=1.04,95% CI1.01-1.06),存在 15.69 的阈值,超阈值后风险显著升高;
人群异质性:SHR 与全因死亡的关联在各亚组均存在,当前吸烟者为高风险亚组(HR=1.18,95% CI1.06-1.31,p<0.05),关联强度显著高于非吸烟 / 既往吸烟者,年龄、性别等无明显修饰作用。
小结
本研究基于 NHANES(9647 人,中位随访 6.8 年)和 CHARLS(7525 人,中位随访 9 年)双队列,结合图表量化分析,明确压力高血糖比值(SHR)对 CKM 综合征 0-3 期人群的预后价值:SHR 与全因死亡显著正相关(全调整后 HR=1.09),存在 17.93 的阈值效应,超阈值后风险再升 16%,且经 RDW、白蛋白、RAR 中介;与心血管死亡无显著关联。当前吸烟者中该关联更强,LightGBM 模型(AUC=0.863)预测性能最优,验证了 SHR 作为该人群风险评估工具的临床价值。
专注于用NHANES数据做挖掘、生信分析,你也想复刻顶刊研究思路的话,【生信指示灯】就是你的最佳助力!↓↓↓

GBD|CHANES|CHARLS
生信分析|机器学习
数据库联合|个性化分析
◀◀◀长按添加,复刻高分思路
欢迎在评论区留下您感兴趣的领域,「生信指示灯」将每日为您精选并解读前沿高分文献。关注我们,持续获取生信前沿洞见。
往期精选
IF15.70!上海交大等多团队联合!依托NHANES+UKB登顶顶刊子刊《Nature》1区!
IF30.90!南方医科大学团队依托 GEO 数据库,荣登《Cell Metabolism》中科院 1 区 TOP 期刊!