本公众号旨在用最优质的方法解析全国各地重大数学考试,分享最新优质的高中资料,同时精选每日一题(一模二模三模考试也包括高考数学),破解“选择填空解答题的压轴题”,如果你想第一时间接收该公众号的消息,记得关注本公众号,具体操作如下:
第一步,点击顶部蓝字数学探秘园
第二步,关注公众号
第三步,点击右上角【···】
第四步,点击【设为星标】
若数学成绩维持在100~130分,但很难突破130分,想要提升数学成绩的可单独私信我,线上拔尖培优小班期待你的加入 课堂干货满满,学生好评如潮,想了解往届学生成绩和评价也可以点开下方的推文了解详情,或直接添加我的微信与我沟通😊
高考总分690?数学超常发挥143!来看看我的2024届优秀学生是如何做到的!
全省总分排名440?录取复旦大学!出生于大山的孩子,如何顶住压力改变命运实现高考逆袭?来看看我的2024届优秀学生是如何做到的!
在2025届拔尖班 我们压到了很多高考原题
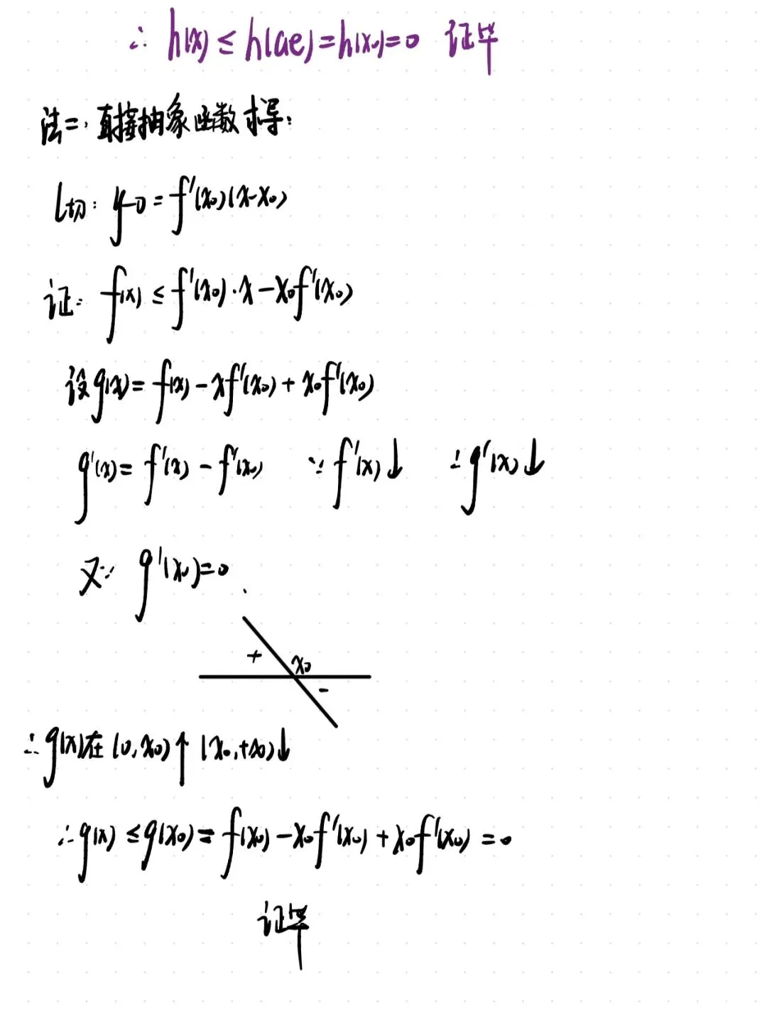
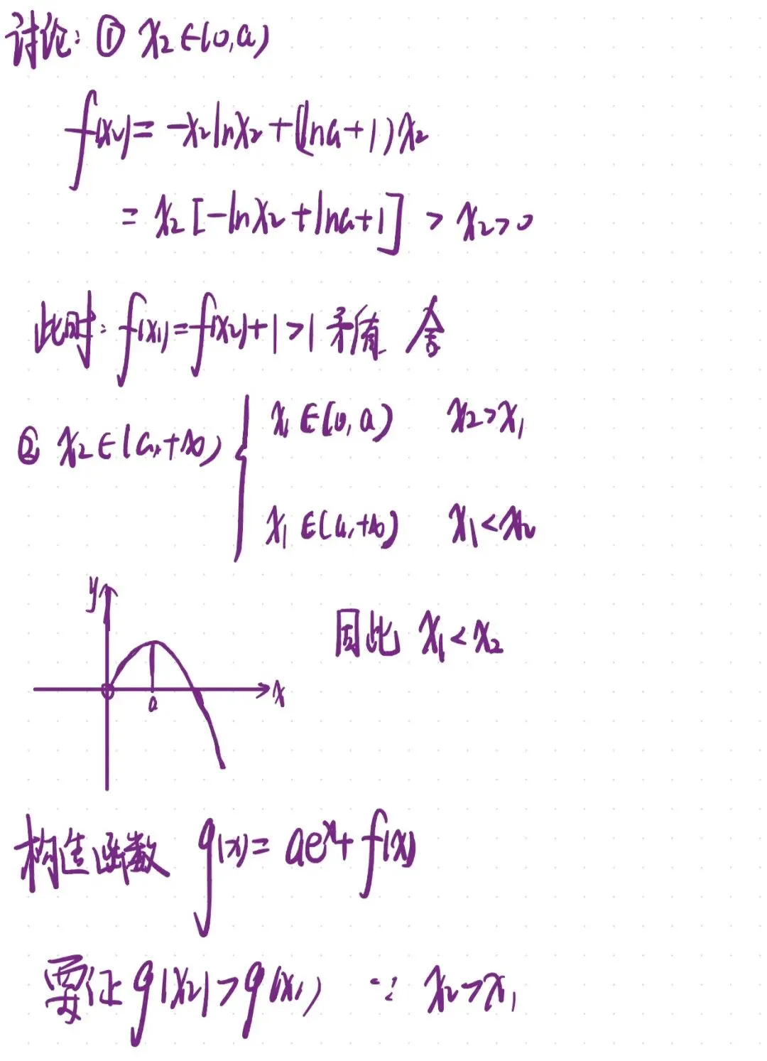
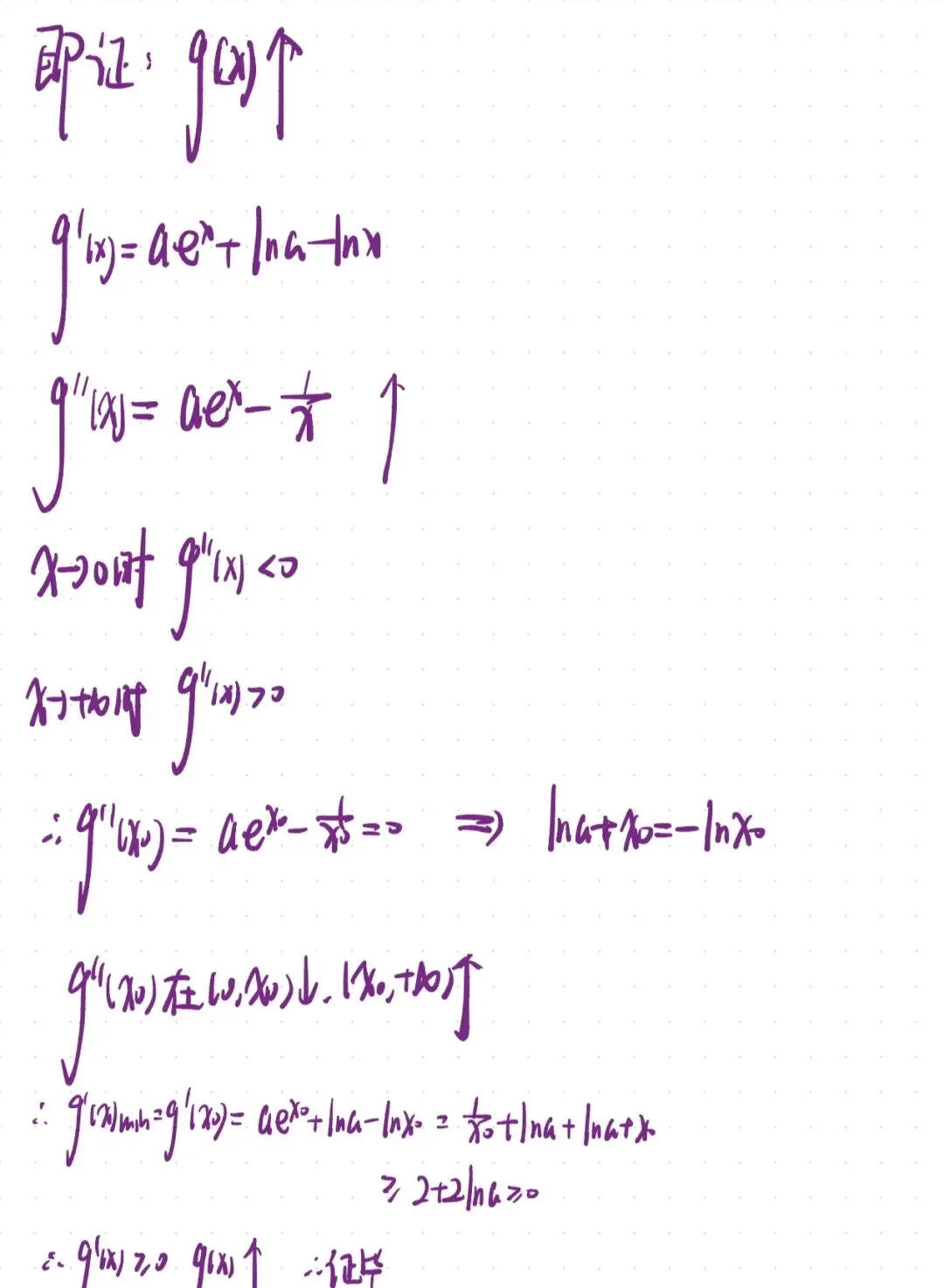
上周给拔尖班讲了南昌一模导数压轴题 质量极佳 我们一起来看看:

思考片刻 看看这题你能否轻松有思路?上课给学生尝试了 尖子生10分钟就把第三问核心思路说出来了!
这题考的是“1”的代换 这个操作可能你只在基本不等式里听到过 导数证明里一样可用!解析如下:





你学会了吗?
留一道题做为练习吧!

春季线上小班课火热预订中:有意向欢迎咨询➕V:math_zj(最新的录播课程也欢迎购买)



课程咨询欢迎➕v:math_zj 精品的拔尖录播课 也欢迎购买!
欢迎各位数学爱好者入群探讨交流,群内会上传最新的资料,分享最新最优质的名校试题,也欢迎各位探讨数学问题
感谢您的点赞,关注与喜欢💗